Factors Enhancing Professional Quality of Life Among Nursing Students in Singapore: A Descriptive Predictive Study
Violeta Lopez1, Muthulakshmi Paulpandi2, Yeow Leng Chow3, Punya Damayanthi Arunoda2 and Piyanee Klainin-Yobas3*
1Professor, Alice Lee Centre for Nursing Studies, National University of Singapore, Clinical Research Centre Singapore
2Research Assistant, Alice Lee Centre for Nursing Studies, National University of Singapore, Clinical Research Centre, Singapore
3Associate Professor, Alice Lee Centre for Nursing Studies, National University of Singapore, Clinical Research Centre, Singapore
Submission: September 16, 2019; Published: September 30, 2019
*Corresponding author: Piyanee Klainin-Yobas, Alice Lee Centre for Nursing Studies, National University of Singapore, MD 11, Level 2, Clinical Research Centre 10 Medical Drive, 117597, Singapore
How to cite this article:Violeta L, Muthulakshmi P, Yeow L C, Punya D A, Piyanee K-Y. Factors Enhancing Professional Quality of Life Among Nursing Students in Singapore: A Descriptive Predictive Study. Psychol Behav Sci Int J. 2019; 13(3): 555865. DOI: 10.19080/PBSIJ.2019.13.555865
Abstract
Resilience has been found to mitigate stressful experiences in nursing students. Having resilience will lead to positive professional quality of life. This study aimed to examine the predictors of resilience in nursing students in Singapore. A cross-sectional study was used. Self-reported questionnaires were administered to a convenience sample of 126 nursing students enrolled in the undergraduate programme. Data were analysed using descriptive statistics, correlational analyses, and path analyses. Findings showed that resilience was significantly predicted by self-efficacy (β = 0.42, p < 0.01), positive affect (β = 0.27, p < 0.01), and mindfulness (β = 0.16, p < 0.05). Resilience (β = 0.33, p < 0.001) was a significant predictor of professional quality of life (R2 = 32.90). Although resilience is a dynamic process, nurse educators need to be mindful that building resilience in their students using culturally acceptable strategies is important. This is so that nursing students could be prepared to face the challenges in their academic work and clinical experiences.
Keywords: Mindfulness; Positive affect; Resilience; Self-efficacy; Nursing students; Singapore
Introduction
Nurses are the largest group of healthcare professionals worldwide and the backbone of the healthcare industry. However, there is a significant shortfall of qualified nurses worldwide due to the demanding nature of the professional work [1]. In Singapore, Ministry of Health [2] reported that nurses’ positions are the hardest profession to fill the vacancies. The nursing turnover rate in Singapore stood at 8% in 2013 and an estimated increase of 1,400 is needed to compensate for the resignation of nurses [3]. The main reasons for the turnover were unattractive salary and reluctance to work rotating shifts while other nurses no longer want to join the nursing profession [4].
Nursing students will in future be the nursing workforce required to overcome the nurse shortage issue. Their preparation is critical in achieving the required competency to provide safety and quality health care. However, nurse educators and nurse clinicians have enormous expectations in nursing students undergoing an undergraduate professional program. They are expected to be able to perform well in both theoretical and clinical aspects of the program to prepare them to the practice of nursing when they graduate [5]. However, academic demands, lack of support, stress and reality of nursing life have been found to result in nursing students’ attrition [6].
Fostering resilience and clinical support enhance nursing students’ rate of completion [7]. Resilience mitigates stress by increasing persons’ ability to bounce back or to adapt well in adverse life experiences or significant sources of stress [8,9]. Since stress is a major factor affecting health, well-being and academic performance of nursing students, facilitating and building their resilience could buffer the negative impact of stress [10], and could improve self-confidence, self-efficacy [11,12], positive coping [13], empowerment, conflict management, [14] empathy and professional quality of life [15].
There are; however, factors that facilitate or hinder resilience. Self-efficacy, mindfulness, and positive affect facilitate resilience
while negative affect hinders resilience [16-18]. Furthermore, having resilience was reported to result in better professional quality of life among nurses and nursing students [19-21]. In Singapore, resilient healthcare workers in seven public hospitals were found to be able to overcome significant personal and professional crisis, Chan et al. (2012). However, there are limited studies that mainly focused on student nurses’ resilience and the factors that would predict their resilience. Therefore, this study was aimed at exploring the predictors of resilience in nursing students in Singapore.
A university in Singapore has offered a full-time three-year Bachelor of Science (BSc)(Nursing) program consisting of both theoretical and clinical components. All students who obtain a grade point average of 3.2 after completing the third year of the BSc (Nursing) program are eligible to enter the fourth year for the one-year BSc (Nursing) (Honours) program where they are required to conduct educational or clinical research and submit a thesis. A two-year Master of Nursing program, two-year Master of Science (Nursing) and Doctor of Philosophy programs are also offered at this university.
The Workforce Resilience Model
The workforce resilience model was used to guide this study and to explain the mechanisms that influence nursing students’ overall resilience. The model has been tested on large-scale, multi-site surveys of the nursing workforce [22,23]. The model lists factors that would facilitate or hinder resilience, which include self-efficacy, mindfulness, coping, positive affect and negative affect. It is hypothesised that resilience will lead to positive professional quality of life.
Research questions
i. Would self-efficacy, mindfulness, coping, negative affect, and positive affect significantly predict resilience among nursing students at a university in Singapore?
ii. Would resilience significantly predict professional quality of life among the nursing students?
Method
Research design and sample
This study involved a cross-sectional descriptive predictive research design, gathering data from questionnaires administered to third-and fourth-year undergraduate nursing students. Convenience sample of 130 nursing students enrolled in the undergraduate programme were recruited from a university in Singapore. The inclusion criteria included: age over 21 years old (age not needing parental consent in Singapore), and third- or fourth-year nursing students.
Approval to conduct the study was obtained from the university ethics committee (B-14-152). Students were informed about the purpose and nature of the study by the researchers.They were assured of their privacy and confidentiality and they had the right not to participate in the study and such decision would not affect their study. They were provided with an envelope containing an Informed Consent Form, self-reported questionnaire and self-addressed envelope. Each participant was asked to complete the questionnaire at his/her own convenience and to return it in a sealed box at the entrance foyer of department of nursing. The students were also given SG$5.00 (US$ 4.60) upon completion of the questionnaire.
Outcome measures
Self-efficacy was measured with the General Self-Efficacy Scale (GSE), which includes 10 items [24]. Possible responses are “not at all true” (1), “hardly true” (2), “moderately true” (3), and “exactly true” (4), yielding total scores between 10 and 40. Higher scores indicate greater levels of self-efficacy. High reliability, stability, and construct validity of the GSE has been confirmed [24].
Mindfulness was measured by the Cognitive and Affective Mindfulness scale, revised (CAMS-R) [25], which captures attention, present-focus, awareness, and non-judgement. The scale has 12 items with four response categories ranging from “rarely/not at all” (1) to “almost always” (4). Possible scores are in the range of 12 – 48 with the highest score suggesting greater mindfulness levels. The CAMS-R has sound construct validity and reliability [26].
Mindfulness was measured by the Cognitive and Affective Mindfulness scale, revised (CAMS-R) [25], which captures attention, present-focus, awareness, and non-judgement. The scale has 12 items with four response categories ranging from “rarely/not at all” (1) to “almost always” (4). Possible scores are in the range of 12 – 48 with the highest score suggesting greater mindfulness levels. The CAMS-R has sound construct validity and reliability [26].
Coping was assessed by the 28-item Brief COPE scale [27], which captures the extent to which respondents use both adaptive and maladaptive coping skills. The Brief COPE was developed based on concepts of coping from Lazarus & Folkman [28]. Responses to each item range from “I haven’t doing this at all” (1) to “I have been doing this a lot” (4). Possible scores range from 28 to 112 with higher scores indicating the greater use of coping strategies. The Brief COPE scale showed fairly good validity and reliability [29]. Positive affect (PA) and negative affect (NA) were measured with the Positive and Negative Affect Scale (PANAS) [30], which comprises 20 items measuring individuals’ overall affective state. The scale consists of two separate 10-item sub-scales; one measuring positive affect and the other measuring negative affect. Respondents are asked to rate the extent they have experienced a particular emotion using a five-point scale ranging from “very slightly or not at all” (1) through to “very much” (5). A number of time frames can be used such as ‘over the past week’ or ‘generally (on average)’. The PANAS has excellent reliability and validity [30]. Resilience was assessed by the Connor-Davidson Resilience Scale [31]. The original scale has 25 items but the present study used a shorter 10-item version that assesses aspects of resilience pertaining to central cores of the resilience construct [32]. The CD-RISC10 uses a five-point response scale ranging from “not at all true” (1) to “nearly always true” (5). Possible scores are in the range of 10 - 50 with higher scores reflecting greater resilience.
Professional quality of life was measured by the Professional Quality of Life scale version 5 (PROQOL5) consisting of measures for compassion satisfaction, burnout and secondary trauma [33]. This scale has 30 items, utilizing five-point scale from “never” (1) to “very true” (5). Possible scores range from 30 to 150 with the highest score reflecting the highest professional quality of life. The scale has been psychometrically validated in different studies for various target populations [33]. Demographic information of respondents was collected. Such information include age, gender, designation, marital status, religion, country of birth, reasons for choosing the nursing professional, among others.
Data analysis
Data in this study were analysed using IBM SPSS Statistics version 24.0. Univariate analyses (such as mean, standard deviation, range, skewness, and kurtosis) were computed for all study variables and participants characteristics. Internal consistency reliability (Cronbach’s alpha) was estimated for all measurements. Correlational analyses were used to explore relationships among study variables. Path analyses (using a
series of multiple regression analyses) were performed to estimate the predicting effects of independent variables on dependent variables (resilience and professional quality of life). Standardized regression coefficient (β) would represent the predicting effect and significant level was set at α = 0.05.
Results
Descriptions of participants
Among 130 eligible nursing students, 126 completed and returned the self-reported questionnaires, leading to a response rate of 96.9%. Students were female (84.90%, n = 107) and male (15.10%, n = 19). Their age was in the range of 21–29 with an average age of 22.55 years (SD=1.48 year). Most students chose a nursing profession because of their wish to help others (81.00%, n = 102), followed by stable income (36.50%, n = 46), professional status (15.90%, n = 20) and family influence (10.30%, n = 13). Most participants were single (97.60%, n = 123) and Singaporean citizen (89.70%, n = 113) (Table 1). The largest group were Christian (32.54%, n = 41), followed by Buddhist (23.80%, n = 30) and free thinkers (23.02%, n = 29).


Table 2 displays descriptive statistics of study variables. All variables showed approximate normal distribution, as evidence by skewness between -2 to +2 and kurtosis between -7 to +7 [34,35]. Coping displayed a slight positive skewness (skewness = 3.93). Internal consistency reliability of all variables was acceptable, as evidenced by Cronbach’s alpha greater than 0.70 [36]. The means and standard deviations of the seven variables are shown in Table 2 which represented moderately high selfefficacy, mindfulness, coping, resilience, professional quality of life and positive affect and lower negative affect.
Correlations among study variables

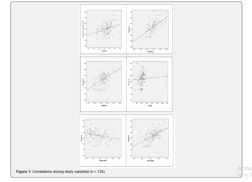
Professional quality of life had a significant positive correlation with resilience (r = 0.33, p < 0.001). Resilience had significant positive correlations with self-efficacy (r = 0.59, p < 0.001), mindfulness (r = 0.45, p < 0.001), and positive affect (r = 0.50, p < 0.001); and a negative relationship with negative affect (r = - 0.21, p = 0.02). Relationships among study variables are graphical displayed in Figure 1.

Results of path analyses are shown in Figure 2. Self-efficacy (β = 0.42, p < 0.001), positive affect (β = 0.27, p = 0.001), mindfulness (β = 0.16, p = 0.04) were significant predictors of resilience with self-efficacy as the strongest predictor. In other words, nursing students with greater levels of self-efficacy, mindfulness, and positive affect were likely to report higher levels of resilience. All independent variables explained 67.50% of variance on resilience (R2 = 67.50). Additionally, resilience (β = 0.33, p < 0.001) was a significant predictor and explained 32.90% of variance on professional quality of life (R2 = 32.90). Students who had greater resilience were more likely to report higher levels of professional quality of life
Discussion
The current study examined the predictors of resilience and professional quality of life in undergraduate nursing students. Compared to the study of healthcare workers in Singapore [11] and other studies with lower resilience in nursing students’ due to experiences of negative behaviours in clinical environments [37] and having trait negative affect [18], the current study found that nursing students had moderately high mean resilience score. It may be related to the nursing students’ in our study chose nursing as a profession because of their desire to help others. Other factors that enhance nursing students to stay are academic and clinical supervision support [7,38] as well as family and peer support [6,39].
In Singapore, nursing students are well supported by clinical nurses who acted as clinical preceptors during their clinical practice rotations. Support from peers and academic staff are also provided in the university “Houses” system. The Houses are named according to nursing theorists (e.g. Orem House, Watson House, Newman House, among others) and each house is composed of a group of students from first- to fourthyear enrolled in the undergraduate program and two academic advisors. Each House organizes their own programs, activities, discussions and provides support for its members. Nursing students’ socialization into the nursing profession are therefore enhanced and supported [40], psycho-educational resilience program [13] and mindfulness training [16] were also strategies that were found effective in building resilience and enhancing positive affect and coping to stressful situations in nursing students.
The current study found that self-efficacy, positive affect, mindfulness were predictors of resilience while resilience was found to predict professional quality of life in nursing students. Resilience, however, had a negative correlation with negative affect. The results of the current study concurred with the study of Li & Nishikawa [41] who found that self-efficacy was highly correlated with personal competence (which is one of the five domains of the Connor-Davidson Resilience Scale) in American and Taiwanese college students. Mindfulness as a predictor of resilience and professional quality of life was also similar to the study of third-year nursing students in Australia [16]. Positive affect builds on compassion satisfaction and competence in nursing students. Among nursing students in Korea [42] and China [21] where they found that compassion competence had a positive correlation with compassion satisfaction and professional quality of life. These findings also concur with those nurses in the studies of Hooper et al. [43] in the U.S., Duarte et al. [15] in Portugal, and Durkin et al. [19] in the U.K. and Hegney et al. [44] in Australia. In our study, nursing students spent time in community-based settings to provide health care services alongside medical students, which is outside their academic requirements. It could explain the findings in our current study as our students might develop compassion competence and satisfaction predicting their resilience and professional quality of life. Compassionate practice is also deeply embedded in the nursing curriculum especially due to the multi-racial population that makes up Singapore
The current study showed positive correlations between resilience and professional quality of life. This finding is consistent with the study of Waddell et al. [5] among nursing students in Canada in shaping their engagement in the academic program and career goals. This correlation also concurs with the study of Leners et al. [20] among military healthcare providers (nurses and physicians). However, the levels of resilience from those not deployed were higher than those deployed military health care professionals. Our study did not examine the level of resilience between third- and fourth-year nursing students and other demographic profile. The development of emotional resilience among U.K. nursing students during clinical experiences was facilitated by a carting environment and positive staff relationship [12]. As resilience is a dynamic process, in future, a cross-sectional survey will need to be undertaken to examine if there is any difference in the level of resilience in a large cohort of nursing students. The only qualitative study in Singapore that explored resilience among newly graduate nurses showed that building resilience was viewed as an ongoing process from being a nursing student to be a registered nurse and that a positive working environment was a facilitating factor [45]. It was reported that these new graduate nurses were able to build their resilience upon the comprehensibility, meaningfulness and management of any situation faced. Thus, in the current study, the high level of coping, self-efficacy, mindfulness and positive affect were correlated with resilience and professional quality of life among nursing students.
Although these findings are notable, several limitations were considered. First, the cross-sectional nature of the study does not allow causality to be drawn. Secondly, participants were mainly women even though the sample size of men in nursing is a known fact, which limits the generalizability of the findings. In addition, we used a convenience sample of nursing students in the thirdand fourth-year of the undergraduate nursing program, which may not adequately represent the overall nursing population. Data were entirely derived from self-report questionnaires and are subject to the limitations with this type of cross-sectional survey. Further research is therefore needed to include all undergraduate nursing students regardless of academic levels including those enrolled in the nursing diploma program.
Work-related stress associated with academic workload as well as clinical experiences are common among nursing students that may later impact their decision to leave the nursing profession. Having resilience may assist nursing students to overcome the stressors they experience and thus have better professional quality of life. However, resilience maybe contextual and enactment of resilience may be different from individual to individual. The predictors of reliance found in this study may help nurse educators and clinical preceptors develop strategies for nursing students to learn and acquire resilient qualities during their undergraduate program. Providing mindfulness training maybe one way to build nursing students’ resilience in order to cope with the stressors and overcome burnout and negative affectivity.
Conclusion
This study demonstrated that it is possible to examine nursing students’ professional quality of life through the predictors of resilience. Although resilience is a dynamic process, nurse educators need to be mindful that building resilience in their students using culturally acceptable strategies is important. This is so that nursing students could be prepared to face the challenges in their academic work and clinical experiences.
Role of Funding Source
This work was supported by Start-up Grant, Yong Loo Lin School of Medicine, National University of Singapore, Singapore.
References
- American Psychiatric Association (2013) Diagnostic and Statistical Manual of Mental Disorders, (5th edn.), American Psychiatric Publishing: Arlington, VA, USA.
- Center for Disease Control and Prevention (2014) Prevalence of autism spectrum disorder among children aged 8 years-autism and developmental disabilities monitoring network, 11 sites, United States, 2010. Morbidity and Mortality Weekly Report. Surveillance Summaries 63: 1-21.
- Post-Traumatic Stress Disorder (PTSD) (2018) National Institutes of Mental Health, United States.
- van Steensel FJA, van Bögels SM, Perrin S (2011) Anxiety disorders in children and adolescents with autistic spectrum disorders: A metaanalysis. Clin Child Fam Psychol Rev 14(3): 302–317.
- Mehtar M, Mukaddes NM (2011) Posttraumatic Stress Disorder in individuals with diagnosis of Autistic Spectrum Disorders. Res Autism Spectr Disord 5: 539-546.
- De Bruin EI, Ferdinand RF, Meester S, de Nij PFA, Verheij F (2007) High rates of psychiatric comorbidity in PDD-NOS. J Autism Dev Disord 37(5): 877-886.
- Storch EA, Sulkowski ML, Nadeau J, Lewin AB, Arnold EB, et al. (2013) The phenomenology and clinical correlates of suicidal thoughts and behaviors in youth with autism spectrum disorders. J Autism Develop Disord 43(10): 2450-2459.
- Dell’Osso L, Dalle Luche R, Carmassi C (2015) A new perspective in post-traumatic stress disorder: Which role for unrecognized autism spectrum. International Journal of Emergency Mental Health and Human Resilience 17(2): 436-438.
- Nietlisbach G, Maercker A (2009) Social cognition and interpersonal impairments in trauma survivors with PTSD. Journal of Aggression Maltreatment & Trauma 18(4): 382-402.
- Kerns CM, Newschaffer CJ, Berkowitz SJ (2015) Traumatic childhood events and autism spectrum disorder. J Autism Dev Disord 45(11): 3475-3486.
- Stavropoulos K, Bolourian Y, Blacher J (2018) Differential Diagnosis of Autism Spectrum Disorder and Post Traumatic Stress Disorder: Two Clinical Cases. J Clin Med 7(4).
- Trelles Thorne Mdel P, Khinda N, Coffey BJ (2015) Posttraumatic stress disorder in a child with autism spectrum disorder: Challenges in management. J Child Adolesc Psychopharmacol 25(6): 514-517.
- Morries LD, Cassano P, Henderson TA (2015) Treatments for traumatic brain injury with emphasis on transcranial near-infrared laser phototherapy. Neuropsychiatr Dis Treat 11: 2159-2175.
- Hamblin MR (2016) Shining light on the head: Photo biomodulation for brain disorders. BBA Clin 6: 113-124.

















