Carboxymethyl Cellulose: Rheological and Pipe Flow Properties
Benslimane A1, Bekkour K2, François P2, Sadaoui D1 and Benchabane A3*
1Faculté de Technologie. Université de Bejaia, Algérie
2Département Mécanique, Université de Strasbourg, Algérie
3Laboratoire de Génie Energétique et Matériaux (LGEM), Université de Biskra, Algérie
Submission: July 26, 2018;Published: September 20, 2018
*Corresponding author: Benchabane A, Laboratoire de Génie Energétique et Matériaux (LGEM), Université de Biskra, Algérie
How to cite this article: Benslimane A, Bekkour K, François P, Sadaoui D, Benchabane A. Carboxymethyl Cellulose: Rheological and Pipe Flow Properties. Recent Adv Petrochem Sci. 2018; 5(5): 555675. DOI: 10.19080/RAPSCI.2018.05.555675
Abstract
The aim of this work was to investigate aqueous solutions of Carboxymethyl cellulose (CMC). Their rheological properties and pipe flow behaviour in circular cylinder were studied. The rheological properties of the Carboxymethyl cellulose used were determined in circular pipe flow using an Ultrasound Pulsed Doppler Velocimeter combined with the Pressure Difference method (UPDV+PD). The studied fluids showed a non-Newtonian rheological behaviour that can be well described by the two parameters Oswald-de Waele model (power law model). The rheological properties of two concentration of the Carboxymethyl cellulose (0.1 and 5%) were determined directly in-line of the flow facility. The flow curve obtained was compared to the off-line measurements obtained using a conventional rotational rheometer. The UPDV+PD method was demonstrated to be able for velocity profile visualization and for determining the true flow curve and rheological properties of CMC solutions.
Keywords: Polymer; Carboxymethyl cellulose; UPDV; Non-Newtonian fluids; Pipe flow
Abbreviatations: CMC: Carboxymethyl Cellulose; UVP: Ultrasound Velocity Profiling; PD: Pressure Difference; UPDV: Ultrasound Pulsed Doppler Velocimetry
Introduction
Carboxymethyl cellulose (CMC) is a cellulose derivative which is extensively used polymer in a wide range of applications. For its different properties such as its good binding, thickening and stabilizing, CMC is utilized in various products in cosmetic and pharmaceutical applications (creams, lotions, toothpaste formulation…). However, CMC is used to improve moisturizing effects thanks to its polymeric structure that acts as film forming agent [1-3]. The CMC is used in many other industries such as food, ceramic, and paper industries [1,2]. Anionic polymers of high molecular weight such as CMC are used to stabilize clay particles thanks to the electrostatic interactions between the anionic chains of the polymer and the electric charge at the edge of the clay particles [1,2]
In petroleum industry, where drilling muds are of particular importance, bentonite / polymer blends are often used as drilling fluids. Polymers such as CMC are used for stabilizing and plastering the clay suspension, increasing the viscosity, controlling the mud losses and maintaining adequate flow properties at high salinity, pressure and temperature [1,2]. The rheological properties of these fluids make its flow behavior complex and require special attention to be better understood.
However, the number of experimental works which are published on the pipe flow of the Carboxymethyl cellulose and their rheological behavior in pipe is small. The rheological properties of CMC solutions are much more documented [2, 4-8]. The rheological properties of different concentrations of CMC solutions were investigated by Ghannam and Esmail [4]. The authors have reported nearly Newtonian behavior at the lowest concentration and pseudo-plastic, thixotropic, and viscoelastic responses at the higher-end concentrations. The rheological behavior of higher concentrations of CMC solutions have been investigated by Edali et al. [5] in their work. The authors confirmed both non-Newtonian and and viscoelastic properties of Carboxymethyl cellulose that have been found to be much more pronounced. In their review paper, [6] investigated the pseudo-plastic flow behavior, the viscoelastic, and the rheo-optical properties of various water-soluble cellulosic derivatives.
The rheological properties of different mass concentrations of CMC solutions were investigated by Benchabane and Bekkour [2] at a constant temperature. The forth parameter Cross model was used to correlate the experimental results. Later, Bekkour et al. [3] studied the effect of temperature on the rheological properties of CMC solutions in a presence of soluble fiber pectin, at different mass concentrations. It was clearly determined that the type of CMC, the temperature and particularly the concentration significantly influences the rheological behaviour of CMC dispersions [2,3, 4-9].
In case of non-Newtonian fluids, it was shown that pressure drop can be predicted by using rheological properties of the flowing fluid. Furthermore, understanding the rheological behavior of fluids in pipe flow conditions is important for the designand control of the industrial process. That is why it is necessary to measure the ‘right’ flow curve and rheological parameters for the fluid used. The theoretical principle, which was serving as basis for the rheological characterization, is the conventional off-line rheometry. However, the rheology of non-Newtonian fluids is complex and it is still difficult to reproduce the flow conditions of fluids in pipe with a conventional rotational rheometer. In context of the recent developments, it was shown that the UVP-PD technique could be applied for measurements of complex, non-transparent and highly concentrated fluids that exhibit a non-Newtonian behavior [10-18]. The technique is based on the combination of an Ultrasound Velocity Profiling (UVP) and Pressure Difference (PD) measurements, commonly known as UVP+PD. This method was successfully tested in several industrial fluid processes see [10,17,19-21].
It is obvious that additional experimental data are needed to understand the flow properties of CMC solutions and the effect of the pipe flow conditions on their rheological behavior. This material was extensively studied previously in our laboratory from a rheological point of view [2,7,22].
The present paper contributes to evaluate the non-invasive UPDV+PD technique for in-line rheology measurements and flow visualization of Carboxymethyl cellulose. An experimental analysis of the laminar flow of CMC solutions in a straight pipe was then conducted. The velocity profiles were determined using ultrasonic pulsed Doppler velocimeter. Solutions of CMC exhibited shear-thinning non-Newtonian rheological behaviour that can be well described by the two parameters Oswald-de Waele model. The rheological properties were determined directly in-line and the parameters obtained were compared to the offline measurements obtained using a conventional rotational rheometer. Experimental measurements of pressure drop and mean velocity profiles are presented in laminar flow.
Theory
Non-Newtonians fluids do not present a direct proportionality between shear stress and shear rate. To describe their rheological behavior, different flow models are commonly used. One of the most frequently used is the Ostwald-de-Waele model, better known as the power-law model given by:

where (Pa) is the shear stress, γ (s-1) is the shear rate, k (Pa.sn) is the flow consistency factor index and n (-) is the flow behavior index. These parameters can be obtained by using a curve fitting procedure. In cases in which n=1 (Newtonian fluid case), k changes to η and Eq. (1) becomes the Newtonian model. In this case, η is a constant of proportionality between the shear stress applied on the fluid and the corresponding shear rate. This constant is the dynamic viscosity of the Newtonian fluid.
For power-law fluids, in laminar flow and no slip boundary condition, the velocity distribution across the pipe radius is given by the following expression:

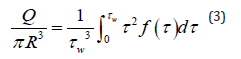
As the power law model was found to suitably satisfactorily describes the rheological behavior of the used fluids, the relation between the wall shear stress τw , the volumetric flow rate Q and the shear stress τ is given by the well-known equation:

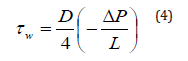
Where Q is the total volumetric flow rate, τw is the wall shear stress and R is the pipe radius. For unidirectional, axisymmetric flow in pipe, the shear stress at the pipe wall (τw) is given by:

Where D is the pipe diameter and ΔP L is the pressure drop over a fixed length L. The shear rate and shear stress distribution along the pipe radius can be determined by:

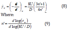
As the values of 8U/Dare the wall shear rate for Newtonian fluids, these pseudo shear rates have to be transformed to true shear rates (γ ). According to Chhabra and Richardson [23] and Kotzé et al. [12], a flow curve of unknown form (Eq.3) will yield, after arrangement, the following:

This equation occurs in various forms, one being the wellknown Rabinowitsch-Mooney equation:

The identification of the transition from laminar to turbulent flow has a great importance because the fluid flow behavior changes fundamentally at the transition zone [12]. Metzner and Reed [24] formulated a generalized Reynolds number (Reg) for non-Newtonian pipe flow:

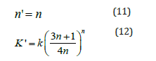
The Reynolds number was used as an indication of the flow regimes in which tests were conducted. Over the range of shear rates where the power-law model is applicable, the consistency factor K’ and the behavior index n’ are related to the parameters k and n of the Ostwald-de Waele model, as follows:

One important application of rheological parameters is to calculate the pressure drop, which is usually made through the fanning friction factor f defined as the ratio of viscous forces over kinetic energy per unit volume:

In this expression, ρ is the fluid density, U is the average flow velocity, and τw is the stress at the wall as defined in Eq. 4. For laminar flow, the friction factor can be obtained from a simple function of the generalized Reynolds number (Reg), which is identical to the dimensionless form of the Hagen-Poiseuille equation:

Materials and Methodology
Materials and sample preparation
The product used in this work was provided from VWR Prolabo (France). The carboxymethyl cellulose is a water-soluble flexible anionic polymer derived from natural cellulose. It is a very versatile product, available in many brands and types. To determine its basic physical properties: solubility (dissolution behavior), rheology (viscosity), and adsorption on surfaces [1]. Knowledge the way of preparation has a great influence on the final state of the solutions, and thus on the rheological behavior, fluids were prepared using the same procedure to ensure full reproducibility.
wo CMC (nominal molecular weight of 700000g.mol-1) solutions with mass concentrations of 0.1 and 0.5 wt. % were prepared by dissolving the appropriate amount of CMC in distilled water at room temperature. The CMC concentration range selected was based on manufacturer recommendations for practical food applications. Sufficient time (≥24h) of continuous magnetic stirring was allowed to achieve complete homogenization.
Experimental setup and instrumentation

Conventional off-line rheometery: All the rheological measurements were performed on a stress-controlled rheometer (AR 2000, TA Instruments) equipped with a cone-and-plate geometry (cone diameter 60mm, angle 2 °C). The sample was carefully loaded to the measuring plate of the rheometer and the upper plate was subsequently lowered slowly into position to minimize any disturbance in the solution structure. To prevent water evaporation when temperature is increased, a homemade humidification cover with wet edges was placed around the measuring geometry to provide a water-saturated atmosphere over the sample. Since the domain structure of aqueous CMC solutions is sensitive to shear deformation history and in order to avoid any memory effect, after the sample was loaded into the measuring device, the sample was subjected to a pre-shear of 100s-1 for 2 minutes. The samples were then left to rest for 2 minutes prior the measurements in order to ensure stability of temperature. Using this procedure, we were able to obtain reproducible measurements. The rheological measurements of the CMC solutions were investigated using large deformation rheology measurements. In this case, the flow curves were obtained by applying an increasing stress ramp at a constant stress rate of 0.033Pa.s-1. Temperature and rate of temperature changes in the solutions during rheological measurements were controlled by the rheometer Peltier heating system.
UPDV + PD flow loop and instrumentation: A schematic diagram of the flow loop used to carry out reliable velocity and pressure drop measurements is shown in Figure 1. Flow is provided by a volumetric pump (PCM-Moineau, France) (2) fed directly from a 50 liters capacity tank (1). This pump was selected because it minimizes the amount of mechanical degradation. The flow pipe consists of an assembled Plexiglas ® tube of 20mm inner diameter and 16m length. The temperature of the test fluid is controlled by a heat exchanger (4) and a thermometer (7) mounted in the downstream of the test section (8) is used to monitor the fluid temperature. The test section is equipped with pressure transducers (5). Two pressure transducers (GS Sensors XPM5), providing absolute pressure points, with a range of 2.5 bars were used and are located at 9.22 and 11.97m from the inlet of the experimental setup. Their Operating Temperature Range is from -40 °C to 120 °C. The pressure transducers are fixed to holes drilled in the pipe with diameters equal to the diameter of transducers.
The pressure measurement obtained after each experiment at zero-flow rate was defined as the pressure reference. An electromagnetic flowmeter (model: DS41F, from ABB) (3) is incorporated upstream of the test section to measure the flow rate. The velocity profiles were obtained by Ultrasound Pulsed Doppler Velocimetry (UPDV). The main advantage of this technique is that it is non-intrusive and therefore does not disturb the fluid flow. Contrary to optical methods, it is not limited to optically transparent liquids and can be used in the flow velocity measurement of opaque media. The UPDV technique is based on pulsed ultrasound echography: sinusoidal ultrasonic burst is successively emitted from the transducer with a constant frequency fE, during a short time along a measuring line, and then the echo signal that is reflected from targets that maybe present in the path of the ultrasonic beam is detected by the same transducer. PRF is the pulse repetition frequency inversely proportional to the period of pulse repetition. The transducer is mounted according to the flow direction with an angle of 75 °C. The angle was fixed at this value in order to increase the range of measurable velocities. The backscattered echo is then demodulated in order to preserve only the modulated frequency or Doppler shift frequency fD induced by the motion of the particles. The velocity of the particles within the sample volume is proportional to the frequency of the Doppler signal. This is described by the formula:

Where u is the velocity of the particles, c is the acoustic velocity in water (c = 1456m.s-1 at 11 °C), fE is the emission frequency, and qis the angle between the ultrasonic beam and the flow direction (the Doppler angle).
The velocimeter used in this study is in-house design. Fully developed in the laboratory (Icube, Strasbourg, France), this velocimeter has a highly configurable system developed by Fischer [25] in his thesis were more detailed technical information about velocimeter can be found. The experiments were performed with an 8MHz frequency transducer. It is of ceramic type, with 5mm of diameter. The velocity information is deduced from Doppler frequency shifts induced by the movement of particles. The velocity component measured by the velocimeter is the component in the direction of the ultrasonic beam. Thus, the velocimeter can automatically compute the real velocity value using the introduced Doppler angle (75 °C). The Table 1 shows the specifications of the ultrasound pulse Doppler velocimetry system used.

In this study, a special probe holder was designed to keep a stable positioning of the ultrasound transducer. The probe holder includes a cavity with a diameter equal to the diameter of the transducer. This later is installed at a distance from the pipe wall interface. This was done to avoid measurements in the nearfield zone where the ultrasound field is highly irregular [10], and to avoid disturbing the hydrodynamic field. The probe holder contained a hole fitted with valve, in order to get rid of the air. A thin film of transparent plastic was placed carefully in order to reproduce the surface of the pipe. Figure 2 presents the schematic layout of the holder probe.

Preliminary measurements with water charged with impurities showed good agreement between the experimental data parameterized by the electromagnetic flowmeter and theoretical values, and confirm those obtained by Jaafar et al. [26] with same method and equipment. The volumetric flow rate obtained from integration of the measured velocity profile differs by less than 3% when compared to the flow rate obtained from the electromagnetic flowmeter.
Due to the mechanical degradation of the fluids and the evolution of their rheology with the age, the rheological parameters were measured after each experimental test in the circulating flow loop.
Results and Discussion
Conventional off-line rheometer

The rheological properties of CMC solutions were investigated for two different concentrations, 0.3 and 0.5 wt.%. Figure 3a shows the flow curves of CMC solutions at different concentrations at a constant temperature of 20±0.1 °C. Figure 3b plots the same data as in Figure 3a in terms of viscosity as a function of shear rate. The shapes of CMC solutions flow curves were similar to those reported in previous works [1,2, 21]. The rheom grams of aqueous solutions of CMC showed a shear-thinning non-Newtonian behavior.
It was well observed, as expected, that the viscosity of the aqueous CMC solutions increase with increasing CMC concentration. This is due to an increase in the intermolecular interactions between the CMC chains [12]. The viscosity of a solution is a function of the molecular forces that restrict the molecular motion [25]. As previously reported in our laboratory works, the shape of the flow curves changes when the CMC concentration is increased, then different flow behaviors are observed. Here, the lowest concentration exhibit two shearthinning behaviors over two ranges of shear rates separated by a steady value at medium shear rate.
Diaz and Navaza [9] reported in their work that the rheological properties of CMC dispersions can be adequately described by Ostwald-de Wale model. Benchabane and Bekkour [1,2] used in their work four parameters model to fit the experimental flow curves obtained for CMC solutions. In this work, the flow curves were fitted with the Oswaled-de Waele model (Eq. 1). The model was chosen for its simplicity and its ability to describe the non- Newtonian behavior of CMC solutions over a wide range of shear rates.
To fit the raw data to the model chosen, the Excel® Solver option proposed by Morrison (2005) was used as follow: - The experimental data (shear stress and shear rate) were arranged in the Excel spreadsheet - A column was adopted to predict the value of shear stress which was calculated from a considered flow model (Since the values of the parameters model are unknown, assumptions were made) - A new column for the square of the deviation between the experimental shear stress and the predicted value was created - The Solver function in Excel® was set up to minimize the sum of the squares of the deviations, where the initial assumptions were replaced with the optimized values.
The results of the fits to experimental data using Oswald-de Waele model (Equation 1.) are shown as solid lines in Figures 3a&3b and the parameters of the model for both concentrations of CMC are listed in Table 2.

In-line measurements
Velocity profiles: Since the determination of the rheological properties depends on an accurate measurement of the velocity profiles, it was important to be able to measure velocity profiles. In this section, the suitability of the UVP method to visualize the flow and measure the instantaneous radial velocity profiles across the pipe diameter was investigated.
Figure 4 illustrates typical measured velocity profiles for 0.1wt. %(a) and 0.5wt.% (b)CMC solutions in fully developed laminar flow. The velocity profiles for aqueous CMC solutions was presented in order of increasing Reynolds number offset from bottom to top by an amount indicated by the shifted origins depicted by ‘0’ along the ordinate of the figure. The velocities are presented as a function of the radial distance where the radial position zero indicates the center of the pipe, with maximum velocity. Measurements were thus made both in the direction of the flow.

The laminar velocity profiles were clearly symmetric and specific to those of a power law fluid in laminar flow. It can be seen that a good agreement between experimental data (solid symbols) and theoretical model (solid line) is obtained in the case of pure CMC solution. The velocity profile for Newtonian fluid is shown as reference (dashed line). The parameters of the Oswaldde Waele model used have been determined with a least-square fit on the experimental velocity profile of the circulating fluid. The parameters of the model used to fit the experimental data are given in Table 2. The goodness of fit, R2, was found to be around 0.98 for all measured data thus indicating that the power-law model can be used to accurately describe the rheology of the CMC solutions being investigated.
It was possible to measure the velocity profiles nearly for the full diameter of the pipe. As can be seen in the figure, the UVP method was successfully used to visualize the flow and to measure the instantaneous radial velocity profiles.
Friction factor: In order to evaluate the measurement of pressure drop in the system, experimental data obtained during laminar flow of CMC solutions were used. Pipe dimensions, experimental density and measured pressure drop were substituted into Equation 13 to calculate the friction factor, f. Generalized Reynolds number (Equation 10) was calculated for experimental rheological parameters obtained from the fitting procedure of the velocity profiles for each concentration. This methodology was already used for biological fluid products and gives satisfactory results [26-28].

Figure 5 expresses the Fanning friction factors as a function of generalized Reynolds number. The figure also includes predictions of Equation (14) for the laminar region. The good agreement observed between the experimental friction factor obtained from difference pressure and that estimated from the measured rheological parameters supports the reliability of the powerpaw model obtained for describing the rheological properties of CMC solutions. The agreement between experimental and predicted values is very satisfactory, indicating the adequacy of the equipment and methodology used [29].
Rheological analysis: As described above, from the fitting procedure of the velocity profile, the rheological parameters were found and then a flow curve across the pipe radius was obtained using Equation 1. In addition, a non-model approach called gradient method was used for direct determination of the rheological properties from the velocity profiles to obtain a rheogram across the pipe radius using Eqs. 5 and 6. The shear rate is obtained from the gradient of the measured velocity profile. The shear stress at the wall was calculated from the pressure difference over a fixed distance using Eq. (4) and then the distribution across the pipe was obtained by Eq. (6).The rheogram obtained is the true experimental flow curve across a pipe radius. The number of points on the rheogram depends on the spatial resolution of the velocity profile measurements, i.e. the number of local point velocity measurements across the pipe radius. The maximum value of the shear rate depends on the flow rate. The corresponding flow curves obtained from a power-law model fit and using the gradient method is shown in Figure 6 [30].

Figures 6a&6b show the corresponding shear stress versus shear rate plot and the viscosity versus shear rate plot, respectively. From Figure 6, one can observe a good agreement between the power-law model fitted (solid line) and the gradient method curve (solid symbols). From the viscosity versus shear rate plot shown in Figure 6, the non-Newtonian and shearthinning characters of CMC solutions was observed, and one can observe also that the viscosity increases with the concentration of the aqueous solution, which was expected.
The experimental flow curves of CMC solutions obtained offline with a conventional rotational rheometer were presented in the same Figure for comparison. The flow curve measured off-line for 0.5% CMC solutions showed a higher flow curve for 0.5% solution and a lower flow curve for 0.1% concentration, in comparison with the in-line measurement for both solutions. This can be explained by the range of the shear rate and the experimental protocol. Since the polymer solution was in a dynamic state, continuously in motion inside a flow loop and subjected to a heterogeneous flow conditions and shear rate different from that in the off-line measurements [31].
It should be noted that the problem of obtaining a representative flow conditions clearly illustrates the main disadvantage with conventional off-line measurements. The tube viscometry approach was also used in this work to determine the flow curve of the solutions used. Tube viscometry has been used earlier for mineral suspensions, and good agreement with the UVP + PD method has been reported [10].

Figure 7a&7b show, respectively, the plots of the wall shear stress as a function of the wall shear for the CMC solutions in laminar pipe flow (solid symbol). The experimental data was those of a decrease ramp in the mean velocity. The wall shear stress was obtained from the pressure difference over a fixed distance and the wall shear rate was calculated using the well-known Rabinowitsch-Mooney equation (Eq. 8) using the parameters of the power-law model obtained previously. The flow curve obtained from UVP+PD rheometric method was presented in the same Figure. As shown above, the increase of mass concentration of the CMC solutions leads to an increase in viscosity [32].
However, it can be seen that a good agreement was observed between viscosimtetric method (solid symbols) and UPV+PD method (solid line). The flow curve obtained from the UVP+PD rheometric method was determined from mathematical curve fitting of velocity profile in order to obtain rheological parameters. The parameters of the model were listed in Table 2.
In this feasibility study, the UVP+PD method was demonstrated to be able to determining the true flow curve and rheological properties of CMC solutions, both directly with the non-model gradient method and by curve fitting to the power-law rheological model [33-35].
Conclusion
A detailed experimental investigation of rheological properties of a0.1 and 0.5 wt% CMC solutions flow was conducted using UPV+PD measurement techniques in laminar pipe flow. The advantage of this technique was the possibility to measure a quasi-instantaneous velocity profile. It was demonstrated that instantaneous velocity profiles could be measured under realistic pipe flow conditions.
Firstly, the rheological measurements using off-line conventional rotational rheometer have revealed the strong shear-thinning non Newtonian behavior of CMC solutions. The flow curves were satisfactorily fitted using the Oswald-de Waele two parameters model. Then, the rheological properties were determined, directly in-line and the parameters obtained were subsequently compared with off-line measurements. The UVP+PD method was tested and found successful for continuous in-line measurements.
References
- Benchabane A, Bekkour K (2006) Effects of anionic additives on the rheological behavior of aqueous calcium montmorillonite suspensions. Rheologica Acta 45(4): 425-434.
- Benchabane A, Bekkour K (2008) Rheological properties of Carboxymethylcellulose (CMC) solutions. Colloid and Polymer Science 286:1173-1180.
- Bekkour K, Sun-Waterhouse D, Wadhwa S (2014) Rheological properties and cloud point of aqueous carboxymethyl cellulose dispersions as modified by high or low methoxyl pectin. Food research international 66: 247-256.
- Ghannam MT, Esmail MN (1997) Rheological properties of carboxymethyl cellulose. J Appl Polym Sci 64(2): 289-301.
- Edali M, Esmail MN, Vatistas GH (2001) Rheological properties of high concentrations of carboxymethyl cellulose solutions. J Appl Polym Sci 79(10): 1787-1801.
- Clasen C, Kulicke WM (2001) Determination of Viscoelastic and Rheo- Optical Material Functions of Water Soluble Cellulose Derrivatives. Prog Polym Sci 26: 1839-1919.
- Sun-Waterhouse D, Bekkour K, Wadhwa SS, Waterhouse GIN (2014) Rheological and Chemical Characterization of Smoothie Beverages Containing High Concentrations of Fibre and Polyphenols from Apple. Food Bioprocess Technol 7(2): 409-423.
- Lopez CG, Colby RH, Graham P, Cabral JT (2017) Viscosity and Scaling of Semiflexible Polyelectrolyte NaCMC in Aqueous Salt Solutions. Macromolecules 50(1): 332-338.
- Diaz DG, Navaza JM (2003) Rheology of aqueous solutions of food additives effect of concentration, temperature and blending. Journal of Food Engineering 56(4): 387-392.
- Kotze R, Haldenwang R, Slatter P (2008) Rheological characterisation of highly concentrated mineral suspensions using an Ultrasonic Velocity Profiling with combined Pressure Difference method. Appl Rheol 18(6): 62114-1-62114-10.
- Kotze R, Haldenwang R, Fester V, Rossle W (2014) A feasibility study of in-line rheological characterisation of wastewater sludges using ultrasound technology. Water SA 40(4): 579-586.
- Kotze R, Haldenwang R, Fester V, Rossle W (2015) In-line rheological characterisation of wastewater sludges using non-invasive ultrasound sensor technology. Water SA 41.
- Rahman M, Hakansson U, Wikund J (2015) In-line rheological measurements of cement grouts: Effects of water/cement ratio and hydration. Tunnelling and Underground Space Technology 45: 34-42.
- Wiklund J, Shahram I, Stading M (2007a) Methodology for in-line rheology by Ultrasound Doppler velocity profiling and pressure difference techniques. Chemical Engineering Science 62: 4277-4293.
- Wiklund J (2007b) Ultrasound Doppler Based In-Line Rheometry: Development, Validation and Application. Lund University, Sweden.
- Wiklund J, Stading M (2008) Application of in-lineultrasound Doppler based UVP+PD rheometry method to concentrated model and industrial suspensions. Flow Measurement and Instrumentation 19(3- 4): 171-179.
- Wiklund J, Stading M, Trägårdh C (2010) Monitoring liquid displacement of model and industrial fluids in pipes by in-line ultrasonic rheometry. Journal of Food Engineering 99(3): 330-337.
- Wikund J, Rahman M, Hakansson U (2012) In-line Rheometry of Micro Cement Based Grouts-A Promising New Industrial Application of the Ultrasound Based UVP+PD Method. Applied Rheology 22(4): 42783- 427810.
- Birkhofer BH, Shaik JAK, Windhab EJ, Ouriev B, Lisner K, et al. (2008) Monitoring of fat crystallization process using UVP-PD technique. Flow Meas Instrum 19(3-4): 163-169.
- Benslimane A, Bekkour K, François P (2013) Effect of Addition of Carboxymethy Cellulose (CMC) on the Rheology and Flow Properties of Bentonite Suspensions. Appl Rheol 23(1): 13475.
- Benslimane A, Bekkour K, François P, Bechir H (2016) Laminar and turbulent pipe flow of bentonite suspensions. Journal of Petroleum Science and Engineering139: 85-93.
- Ben azouz, Bekkour K, Dupuis D (2016) Influence of the temperature on the rheological properties of bentonite suspensions in aqueous polymer solutions. Appl Clay Sci 123: 92-98.
- Chhabra RP, Richardson JF (2008) Non-Newtonian Flow and Applied Rheology. In: (2nd edn), Butter worth Heinemann, Oxford, UK.
- Metzner AB, Reed JC (1955) Flow of non-newtonian fluids-correlation of the laminar, transition, and turbulent-flow regions. AIChE Journal 1(4): 434-440.
- Fischer S (2004) Développement d’une instrumentation ultrasonore pour la mesure des vitesses des liquides au-delà de la limite de Nyquist par une approche spectrale. University of Strasbourg, France.
- Jaafar W, Fischer S, Bekkour K (2009) Velocity and turbulence measurements by ultrasound pulse Doppler velocimetry. Measurement 42(2): 175-182.
- Yasar F, Tog˘rul H, Arslan N (2007) Flow properties of cellulose and carboxymethyl cellulose from orange peel. Journal of Food Engineering 81: 187-199.
- Telis-Romero J, Cabral RAF, Gabas AL, Telis VRN (2001) Rheological Properties and Fluid Dynamics of Coffee Extract. Journal of Food Process Engineering 24(4): 217-230.
- Polizelli MA, Menegalli FC, Telis VRN, Telis-Romero J (2003) Friction losses in valves and fittings for power-law fluids. Brazilian Journal of Chemical Engineering 20: 455-463.
- Astolfi-Filhoa Z, Telis VRN, Oliveirac EB, Coimbrac JS, Telis-Romero J, et al. (2011) Rheology and fluid dynamics properties of sugarcane juice. Biochemical Engineering Journal 53(3): 260-265.
- Azouz BK, Dupuis D, Bekkour K (2010) Rheological Characterizations of Dispersions of Clay Particles in Viscoelastic Polymer Solutions. Appl Rheol 20(1): 13041.
- Birkhofer BH (2007) Ultrasonic In-Line Characterization of Suspensions. Laboratory of Food Process Engineering, Institute of Food Science and Nutrition, Swiss Federal Institute of Technology (ETH), Zurich, Switzerland.
- Ouriev B (2000) Ultrasound Doppler Based In-Line Rheometry of Highly Concentrated Suspensions. ETH dissertation Zurich. Switzerland.
- Ouriev, Windhab (2002) Rheological study of concentrated suspensions in pressure-driven shear flow using a novel in-line ultrasound Doppler method. Experiments in Fluids 32(2): 204-211.
- Simon S, Cerf LD, Picton L, Muller G (2002) Adsorption of cellulose derivatives onto montmorillonite: a SEC-MALLS study of molar masses influence. Colloids and Surfaces A: Physicochemical and Engineering Aspects 203(1-3): 77-86.

















