Liquid Chromatography-Mass Spectrometry Based Isotopic Abundance Ratio Analysis of the Consciousness Energy Healing Treated L-Cysteine
Dahryn Trivedi1, Mahendra Kumar Trivedi1, Alice Branton1 and Snehasis Jana2*
1Trivedi Global, Inc., Henderson, USA
2Trivedi Science Research Laboratory Pvt. Ltd., Maharastra, India
Submitted: January 21, 2021; Published: March 09, 2021
*Corresponding author: Snehasis Jana, Trivedi Science Research Laboratory Pvt. Ltd., Maharastra, India
How to cite this article: Dahryn T, Mahendra K T, Alice B, Snehasis J. Liquid Chromatography-Mass Spectrometry Based Isotopic Abundance Ratio 0074 Analysis of the Consciousness Energy Healing Treated L-Cysteine. Oils. JOJ Material Sci. 2021; 6(4): 555691. DOI:10.19080/JOJMS.2021.06.555691
Abstract
L-cysteine is a semi-essential sulfur-containing amino acid found in nails, skin, hair, etc. in the body. This study was performed to investigate the impact of the Trivedi Effect® on the structural properties and the isotopic abundance ratio of L-cysteine using LC-MS analytical techniques. L-cysteine sample was divided into control and treated parts. The treated part only received the Trivedi Effect®-Consciousness Energy Healing Treatment remotely by a renowned Biofield Energy Healer, Dahryn Trivedi. The LC-MS spectra of both the control and treated samples at retention time (Rt) 1.96 minutes exhibited the mass of the molecular ion peak adduct with hydrogen ion at 122 along with low molecular fragmented mass peaks at m/z 105, 102, 87, 76, and 59 for C3H5O2S+, C3H2O2S•+, C3H5NO22+ or C3H5NS•+, C2H6NO2+, and C2H3O2+, respectively were also observed. The peak area of the treated sample (1960679.58) was significantly increased by 8.02% compared to the control sample (1815060.18). The isotopic abundance ratios of PM+1/PM (2H/1H or 13C/12C or 15N/14N or 17O/16O or 33S/32S) and PM+2/PM (34S/32S) in the treated L-cysteine was significantly increased by 41.86% and 32.39%, respectively compared with the control sample. Hence, the 13C, 2H, 15N, 17O, 33S, and 34S contributions from C3H8NO2S+ to m/z 123 and 124 in the treated L-cysteine were significantly increased compared to the control sample. The changes in peak area and isotopic abundance ratios might be the cause of changes in nuclei, possibly through the interference of neutrino particles via the Trivedi Effect®-Consciousness Energy Healing Treatment. The increased isotopic abundance ratio of the treated L-cysteine may increase the intra-atomic bond strength, increase its stability, and shelf-life. The novel Biofield Energy Treated L-cysteine might have increased the stability, solubility, bioavailability, and shelf-life compared to the control sample. The new form of treated L-cysteine would be a better and more stable precursor in the food, cosmetics, pharmaceuticals, personal-care products, additives to cigarettes (act as an expectorant), preventative or antidote for some of the negative effects of alcohol, acetaminophen overdose, clinically used ranging from baldness to psoriasis, excellent for the treatment of asthmatics by enabling them to stop theophylline and other medications, enhances the effect of topically applied silver, tin and zinc salts for preventing dental cavities. In the near future, this Biofield Energy Treated L-cysteine may play a better role in the treatment of diabetes, psychosis, cancer, and seizures.
Keywords: Biofield Energy; Consciousness Energy Healing Treatment; L-cysteine; The Trivedi Effect®; LC-MS
Introduction
Cysteine is a semi-essential sulfur-containing amino acid found in nails, skin, hair, etc. in the body. It contains a thiol group and available as a chiral molecule with dextrorotation (D) and levorotation (L) forms [1]. Cysteine is a non-essential amino acid but may be essential for new-borns, the elderly, and individuals with specific metabolic disease or malabsorption syndromes. The cysteine plenty available in egg, meat, milk, garlic, onions, red peppers, oats, broccoli, wheat germ, brussels sprout, sprouted lentils, etc. Industrially it is also prepared from animal feathers, hair, and even from chemical synthesis [1-3].
Due to its high reactivity of the sulfhydryl group of cysteine (nucleophilic in nature) has numerous biological functions, i.e., it acts, as a precursor to the antioxidant glutathione and iron-sulfur clusters, metal cofactors in enzymes, detoxification, metabolic functions, protein synthesis, collagen production, translation of messenger RNA molecules to produce polypeptides, etc. [1-6]. It is also a precursor in the food, cosmetics, pharmaceuticals, personal-care industries, additives to cigarettes (as an expectorant), preventative or antidote for some of the harmful effects of alcohol (i.e., liver damage and hangover), acetaminophen overdose, production of more wool from sheep, clinically used ranging from baldness to psoriasis, used for the treatment of asthma, enhances the effect of topically applied silver, tin and zinc salts for preventing dental cavities [1,6-9]. Many research work claiming that, in the near future, cysteine may play an important role in the treatment of diabetes, psychosis, cancer, and seizures [10]. The stability of L-cysteine is an issue in the neutral or slightly alkaline aqueous solutions, which is oxidized to cystine by air, and on decomposition, it emits very toxic fumes of sulphur oxides and nitrogen oxides [6].
The physicochemical properties of L-cysteine pay a very important role in the food, cosmetic, pharmaceutical, nutraceutical, and other industries. The Trivedi Effect®- Consciousness Energy Healing Treatment has the astonishing abilities to transform the characteristic properties of both living and non-living object(s) [11-15]. The Trivedi Effect® is a natural and only scientifically proven phenomenon in which an expert can harness this inherently intelligent energy from the “Universal Energy Field” and transmit it anywhere on the planet via the possible mediation of neutrinos [16]. An energy field generated around the body due to the continuous movement of the charged particles in the body known as “Biofield”. The object(s) received the “Energy Therapy” respond to a useful way is known as the Biofield Energy Healing Treatment. There are several Biofield based Energy Therapies that are used nowadays against various disease conditions [17-19]. Biofield Energy Healing therapy has been recognized worldwide as a Complementary and Alternative Medicine (CAM) health care approach by the National Center of Complementary and Integrative Health (NCCIH) with other therapies, medicines and practices such as Ayurvedic medicine, yoga, meditation, homeopathy, traditional Chinese herbs and medicines, naturopathy, chiropractic/osteopathic manipulation, Qi Gong, Tai Chi, aromatherapy, acupressure, acupuncture, healing touch, hypnotherapy, Reiki, cranial-sacral therapy, etc. [20]. These CAM therapies have been adopted by most of the U.S.A. population with several advantages [21]. Similarly, the Trivedi Effect®- Consciousness Energy Healing Treatment also been reported with significant impact on the properties of polymers, ceramics, metals, organic compounds, cancer cell line, microbes, improved skin health, bone health, improved agricultural crop yield, productivity, and quality, and altered the isotopic abundance ratio, improved bioavailability of pharmaceutical/ nutraceutical compounds [22- 37].
The analysis of the natural stable isotope has the importance of many applications to understand the isotope effects resulting from the alterations of the isotopic composition [38-40]. Gas chromatography–mass spectrometry (GC-MS) and liquid chromatography–mass spectrometry (LC-MS) analytical techniques are the widely used analytical techniques for the analysis of isotope ratio with sufficient precision [39]. The Trivedi Effect®-Consciousness Energy Healing Treatment could be an economical approach to alter the isotopic abundance of L-cysteine with improved physicochemical properties for the food, cosmetic, pharmaceutical/ nutraceutical, and other industries. Thus, this study was designed and evaluated the LC-MS based structural characterization and the isotopic abundance ratios in the Trivedi Effect® - Consciousness Energy Healing Treated L-cysteine compared to the control sample.
Materials and Methods
Chemicals and Reagents
The test sample L-cysteine (>98%, titration method) was purchased from Alfa Aesar, India. Other chemicals like methanol, acetonitrile, and ammonium acetate were purchased from Merck, India.
Consciousness Energy Healing Treatment Strategies
The test sample L-cysteine powder was divided into two parts. One part of the L-cysteine powder sample did not receive the Biofield Energy Treatment called the control sample. However, the other part of L-cysteine was received the Trivedi Effect®- Consciousness Energy Healing Treatment remotely under standard laboratory conditions for 3 minutes by the renowned Biofield Energy Healer, Dahryn Trivedi, USA, known as the Biofield Energy Treated L-cysteine. Further, the control sample was treated with a “sham” healer, who did not have any knowledge about the Biofield Energy Treatment. After that, both the Biofield Energy Treated and untreated L-cysteine samples were kept in sealed conditions and characterized using LC-MS analytical techniques.
Characterization
Liquid Chromatography-Mass Spectrometry (LC-MS) Analysis and Calculation of Isotopic Abundance Ratio
The liquid chromatography-mass spectrometric analysis of the L-cysteine was carried out with the help of LC-MS ThermoFisher Scientific, USA, equipped with an ion trap detector connected with a triple-stage quadrupole mass spectrometer. The column used here was a reversed phase Thermo Scientific Synchronis C18 (250mm × 4.6mm × 5micron), maintained at 25˚C. The diluent used for the sample preparation was methanol. The L-cysteine solution injection volume was 20μL and the analyte was eluted using acetonitrile (92%) + 0.1% ammonium acetate (8%) pumped at a constant flow rate of 0.8mL/min. Chromatographic separation was achieved using gradient condition and the total run time was 10 min. Peaks were monitored at 210 nm using the PDA detector. Mass spectrometric analysis was performed under ESI +ve ion mode. The total ion chromatogram, peak area% and mass spectrum of the individual peak which was appeared in LC along with the full scan were recorded.
The natural abundance of each isotope (C, H, N, O, and S) can be predicted from the comparison of the height of the isotope peak with respect to the base peak. The values of the natural isotopic abundance of the common elements are obtained from the literature [40-43]. The LC-MS based isotopic abundance ratios (PM+1/PM and PM+2/PM) for the control and Biofield Energy Treated L-cysteine (C3H8NO2S+) were calculated.
Percentage (%) change in isotopic abundance ratio = [(IARTreated–IARControl)/ IARControl)] × 100
Where IARTreated = isotopic abundance ratio in the treated sample and IARControl = isotopic abundance ratio in the control sample.

Results and Discussion
Liquid Chromatography-Mass Spectrometry (LC-MS)
The LC-SM of the L-cysteine showed a single major peak at retention time (Rt) of 1.96 minutes in both the chromatograms (Figure 1). The peak area of the Biofield Energy Treated sample (1960679.58) was significantly increased by 8.02% compared to the control sample (1815060.18). This indicated that the solubility of the Biofield Energy Treated L-cysteine might have increased compared to the control sample. The finding was supported by the published literature data [12].

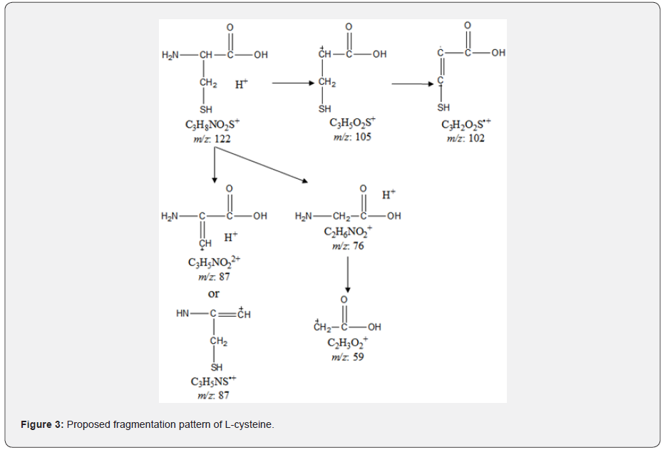
The mass spectra of both the samples of the L-cysteine are shown in Figure 2. The mass spectra of both the samples at Rt of 1.96 minutes exhibited the presence of the molecular ion of L-cysteine (Figure 2) at m/z 122 (calcd for C3H8NO2S+, 122.03). Along with the molecular ion peak, low molecular fragmented mass peaks at m/z 105, 102, 87, 76, and 59 for C3H5O2S+, C3H2O2S•+, C3H5NO22+ or C3H5NS•+, C2H6NO2+, and C2H3O2+ were observed in case of both the samples (Figures 2 & 3). The experimental data were well supported by the published literature [44].

Isotopic Abundance Ratio Analysis
The L-cysteine samples showed the mass of a molecular ion at m/z 122 (calcd for C3H8NO2S+, 122.03) with 100% relative abundance in the spectra. The theoretical calculation of isotopic peak PM+1 for the protonated L-cysteine presented as below:
P (13C) = [(3 x 1.1%) × 100% (the actual size of the M+ peak)] / 100% = 3.3%
P (2H) = [(8 x 0.015%) × 100%] / 100%= 0.12%
P (15N) = [(1 x 0.4%) × 100%] / 100% = 0.4%
P (17O) = [(2 x 0.04%) × 100%] / 100% = 0.08%
P (33S) = [(1 x 0.08%) × 100%] / 100% = 0.08%
PM+1 i.e. 13C, 2H, 15N, 17O, and 33S contributions from C3H8NO2S+ to m/z 123 = 3.98%
Similarly, the theoretical calculation of PM+2 for L-cysteine was presented as below:
P (34S) = [(1 × 4.21%) × 100%] / 100% = 4.21%
PM+2, i.e. 34S contributions from C3H8NO2S+ to m/z 124 = 4.21%
The calculated isotopic abundance of PM+1 (3.98%) and PM+2 (4.21%) values was very close to the experimental values 4.3% and 4.6% (Table 1). From the above calculation, it has been found that 13C, 15N, and 34S have the major contribution to m/z 123 and 124.
The isotopic abundance ratio analysis PM, PM+1, and PM+2 for L-cysteine near m/z 122, 123, and 124, respectively of both the samples were obtained from the observed relative peak intensities of [M+], [(M+1)+], and [(M+2)+] peaks, respectively in the mass spectra (Table 1). The isotopic abundance ratio of PM+1/PM (2H/1H or 13C/12C or 15N/14N or 17O/16O or 33S/32S) and PM+2/PM (34S/32S) in Consciousness Energy Healing Treated L-cysteine was significantly increased by 41.86% and 32.39% compared to the control sample (Table 1). Thus, the 13C, 2H, 15N, 17O, 33S, and 34S contributions from C3H8NO2S+ to m/z 123 and 124 in the Biofield Energy Treated sample was significantly increased compared to the control sample.

The isotopic abundance ratios of PM+1/PM (2H/1H or 13C/12C or 15N/14N or 17O/16O or 33S/32S) and PM+2/PM (34S/32S) in the Biofield Energy Treated L-cysteine were significantly increased compared to the control sample. The changes in isotopic abundance could be due to the possible interference of neutrino particles via the Trivedi Effect®-Consciousness Energy Healing Treatment [16]. The altered isotopic composition in the molecular level of the treated L-cysteine might have altered the neutron to proton ratio in the nucleus. A neutrino is an elementary particle that interacts through the weak subatomic force and gravity. The neutrinos have the ability to interact with protons and neutrons in the nucleus, which indicated a close relationship between neutrino and the isotope formation [39,40]. The isotopic abundance ratios 2H/1H or 13C/12C or 15N/14N or 17O/16O or 33S/32S or 34S/32S would influence the atomic bond vibration of treated L-cysteine [45]. The increased isotopic abundance ratio of the treated L-cysteine may increase the intra-atomic bond strength, increase its stability, and shelf-life. The novel Biofield Energy Treated L-cysteine might have increased the stability, solubility, bioavailability, and shelf-life compared to the control sample. The novel Biofield Energy Treated L-cysteine would be more important to the food, cosmetic, pharmaceutical/ nutraceutical, and other industries compared to the control sample.
Conclusion
The Trivedi Effect®-Consciousness Energy Healing Treatment showed a significant impact on the chromatographic peak area and isotopic abundance ratio of L-cysteine. The LC-MS spectra of both the control and Biofield Energy Treated samples at Rt 1.96 minutes exhibited the mass of the molecular ion peak adduct with hydrogen ion at 122 along with low molecular fragmented mass peaks were also observed. The peak area of the Biofield Energy Treated sample was significantly increased by 8.02% compared to the control sample. The isotopic abundance ratios of PM+1/PM (2H/1H or 13C/12C or 15N/14N or 17O/16O or 33S/32S) and PM+2/PM (34S/32S) in the Biofield Energy Treated L-cysteine was significantly increased by 41.86% and 32.39%, respectively compared with the control sample. Hence, the 13C, 2H, 15N, 17O, 33S, and 34S contributions from C3H8NO2S+ to m/z 123 and 124 in the Biofield Energy Treated L-cysteine was significantly increased compared to the control sample. The changes in peak area and isotopic abundance ratios might be the cause of changes in nuclei possibly through the interference of neutrino particles via the Trivedi Effect®-Consciousness Energy Healing Treatment. The increased isotopic abundance ratio of the Biofield Energy Treated L-cysteine may increase the intra-atomic bond strength, increase its stability, and shelf-life. The novel Biofield Energy Treated L-cysteine might have increased the stability, solubility, bioavailability, and shelf-life compared to the control sample. The new form of Biofield Energy Treated L-cysteine would be a better and more stable precursor in the food, cosmetics, pharmaceuticals, personal-care products, additives to cigarettes (act as an expectorant), preventative or antidote for some of the negative effects of alcohol, acetaminophen overdose, clinically used ranging from baldness to psoriasis, excellent for the treatment of asthmatics by enabling them to stop theophylline and other medications, enhances the effect of topically applied silver, tin and zinc salts for preventing dental cavities. In the near future, this Biofield Energy Treated L-cysteine may play a better role in the treatment of diabetes, psychosis, cancer, and seizures.
Acknowledgement
The authors are grateful to Sophisticated Instrumentation Centre for Applied Research & Testing (SICART) India, Trivedi Science, Trivedi Global, Inc., and Trivedi Master Wellness for their assistance and support during this work.
References
- https://en.wikipedia.org/wiki/Cysteine.
- Jürgen M, Heribert O, Paul S (1981) Facile synthesis of racemic cysteine. Angew Chem Int Ed 20(8): 668.
- Karlheinz D, Ian G, Axel K, Hans Peter K, Wolfgang L, et al. (2007) Amino Acids. Ullmann's Encyclopedia of Industrial Chemistry.
- Lill R, Mühlenhoff U (2006) Iron-sulfur protein biogenesis in eukaryotes: Components and mechanisms. Annu Rev Cell Dev Biol 22: 457-486.
- Baker DH, Czarnecki MGL (1987) Pharmacologic role of cysteine in ameliorating or exacerbating mineral toxicities. J Nutr 117: 1003-1010.
- https://pubchem.ncbi.nlm.nih.gov/compound/L-cysteine#section=Top.
- Tzou-Chi H, Chi Tang H, Hui YH, Wai-Kit N, Robert R (2001) Meat Science and Applications, ch. Flavors of Meat Products. (Eds.) CRC: 71-102.
- Martin T (2009) The List of Additives in Cigarettes. about.com.
- Sprince H, Parker CM, Smith GG, Gonzales LJ (1974) Protection against acetaldehyde toxicity in the rat by L-cysteine, thiamin and L-2-methylthiazolidine-4-carboxylic acid. Agents Actions 4(2): 125-130.
- https://www.dcnutrition.com/amino-acids/.
- Trivedi MK, Branton A, Trivedi D, Nayak G, Gangwar M, et al. (2015) Agronomic characteristics, growth analysis, and yield response of biofield treated mustard, cowpea, horse gram, and groundnuts. International Journal of Genetics and Genomics 3(6): 74-80.
- Trivedi D, Trivedi MK, Branton A, Nayak G, Jana S (2019) Complementary and alternative medicine: Evaluation of the impact of biofield energy treatment on L-cysteine. J Phy Fit Treatment & Sports 6: 1-7.
- Branton A, Trivedi MK, Trivedi D, Nayak G, Jana S (2019) Consciousness energy healing treatment influenced the physicochemical properties of zinc. Nov Tech Nutri Food Sci 4: 330-336.
- Branton A, Jana S (2017) The influence of energy of consciousness healing treatment on low bioavailable resveratrol in male Sprague Dawley rats. International Journal of Clinical and Developmental Anatomy 3(3): 9-15.
- Dahryn T, Mahendra Kumar T, Alice B, Gopal N, Snehasis J (2019) Evaluation of the physicochemical and thermal properties of antimony: Influence of the energy of consciousness healing treatment. Op Acc J Bio Eng & Bio Sci 3, 303-309.
- Trivedi MK, Mohan TRR (2016) Biofield Energy Signals, Energy Transmission and Neutrinos. American Journal of Modern Physics 5(6): 172-176.
- Rubik B, Muehsam D, Hammerschlag R, Jain S (2015) Biofield Science and Healing: History, Terminology, and Concepts. Global Advances in Health and Medicine 4: 8-14.
- Warber SL, Cornelio D, Straughn, J, Kile G (2004) Biofield energy healing from the inside. J Altern Complement Med 10(6): 1107-1113.
- Movaffaghi Z, Farsi M (2009) Biofield therapies: Biophysical basis and biological regulations? Complement Ther Clin Pr 15(1): 35-37.
- Koithan M (2009) Introducing complementary and alternative therapies. J Nurse Pract 5: 18-20.
- Barnes PM, Bloom B, Nahin RL (2008) Complementary and alternative medicine use among adults and children: United States, 2007. Natl Health Stat Report 12: 1-23.
- Branton A, Trivedi MK, Nayak G, Trivedi D, Jana S (2018) Evaluation of the effect of biofield energy treatment on physicochemical and thermal properties of hydroxypropyl β-cyclodextrin. J Pharmaceu Pharmacol 6(1): 5.
- Trivedi D, Trivedi MK, Branton A, Nayak G, Jana S (2018) Impact of consciousness energy healing treatment on the physicochemical and thermal properties of silver oxide. Journal of Advanced Pharmaceutical Science and Technology. 8: 13-24.
- Branton A, Trivedi MK, Trivedi D, Nayak G, Jana S (2019) Consciousness energy healing treatment influenced the physicochemical properties of zinc. Nov Tech Nutri Food Sci 4: 330-336.
- Trivedi MK, Branton A, Trivedi D, Nayak G, Sethi KK, et al. (2016) Isotopic abundance ratio analysis of biofield energy treated indole using gas chromatography-mass spectrometry. Science Journal of Chemistry 4(4): 41-48.
- Trivedi MK, Branton A, Trivedi D, Shettigar H, Nayak G, et al. (2015) Assessment of antibiogram of multidrug-resistant isolates of Enterobacter aerogenes after biofield energy treatment. J Pharma Care Health Sys 2: 145.
- Trivedi MK, Patil S, Shettigar H, Mondal SC, Jana S (2015) The potential impact of biofield treatment on human brain tumor cells: A time-lapse video microscopy. J Integr Oncol 4: 141.
- Trivedi MK, Branton A, Trivedi D, Shettigar H, Nayak G, et al. (2015) Antibiogram typing of biofield treated multidrug resistant strains of Staphylococcus species. American Journal of Life Sciences 3(5): 369-374.
- Singh J, Trivedi MK, Branton A, Trivedi D, Nayak G, et al. (2017) Consciousness energy healing treatment based herbomineral formulation: A safe and effective approach for skin health. American Journal of Pharmacology and Phytotherapy 2(1): 1-10.
- Kinney JP, Trivedi MK, Branton A, Trivedi D, Nayak G, et al. (2017) Overall skin health potential of the biofield energy healing based herbomineral formulation using various skin parameters. American Journal of Life Sciences 5(2): 65-74.
- Lee AC, Trivedi K, Branton A, Trivedi D, Nayak G, et al. (2018) The potential benefits of biofield energy treated vitamin D3 on bone mineralization in human bone osteosarcoma cells (MG-63). International Journal of Nutrition and Food Sciences 7(1): 30-38.
- Anagnos D, Trivedi K, Branton A, Trivedi D, Nayak G, et al. (2018) Influence of biofield treated vitamin D3 on proliferation, differentiation, and maturation of bone-related parameters in MG-63 cell-line. International Journal of Biomedical Engineering and Clinical Science 4(1): 6-14.
- Trivedi MK, Branton A, Trivedi D, Nayak G, Gangwar M, et al. (2015) Morphological and molecular analysis using RAPD in biofield treated sponge and bitter gourd. American Journal of Agriculture and Forestry 3(6): 264-270.
- Trivedi MK, Branton A, Trivedi D, Nayak G, Panda P, et al. (2016) Evaluation of the isotopic abundance ratio in biofield energy treated resorcinol using gas chromatography-mass spectrometry technique. Pharm Anal Acta 7: 481.
- Trivedi MK, Branton A, Trivedi D, Nayak G, Sethi KK, et al. (2016) Determination of isotopic abundance ratio of biofield energy treated 1,4-dichlorobenzene using gas chromatography-mass spectrometry (GC-MS). Modern Chemistry 4(3): 30-37.
- Branton A, Jana S (2017) The use of novel and unique biofield energy healing treatment for the improvement of poorly bioavailable compound, berberine in male Sprague Dawley rats. American Journal of Clinical and Experimental Medicine 5(4): 138-144.
- Branton A, Jana S (2017) The influence of energy of consciousness healing treatment on low bioavailable resveratrol in male Sprague Dawley rats. International Journal of Clinical and Developmental Anatomy 3(3): 9-15.
- Schellekens RC, Stellaard F, Woerdenbag HJ, Frijlink HW, Kosterink JG (2011) Applications of stable isotopes in clinical pharmacology. Br J Clin Pharmacol 72(6): 879-897.
- Muccio Z, Jackson GP (2009) Isotope ratio mass spectrometry. Analyst 134(2): 213-222.
- Weisel CP, Park S, Pyo H, Mohan K, Witz G (2003) Use of stable isotopically labeled benzene to evaluate environmental exposures. J Expo Anal Environ Epidemiol 13(5): 393-402.
- Rosman KJR, Taylor PDP (1998) Isotopic compositions of the elements 1997 (Technical Report). Pure Appl Chem 70(1): 217-235.
- Smith RM (2004) Understanding Mass Spectra: A Basic Approach. Second Edition, John Wiley & Sons, Inc.
- Jürgen H (2004) Gross Mass Spectrometry: A Textbook (2nd Edn) Springer: Berlin.
- Siddiqui MR, Wabaidur SM, Alothman ZA, Rahman H, Alam MS, et al. (2014) Iodate oxidation of n-acetyl l-cysteine: Application in drug determination and characterization of its oxidation and degradation product by mass spectrometry. J Chil Chem Soc 59(1): 2303-2307.
- Santesteban LG, Miranda C, Barbarin I, Royo JB (2014) Application of the measurement of the natural abundance of stable isotopes in viticulture: A review. Australian Journal of Grape and Wine Research 21(2): 157-167.

















