Spatial Distribution of the Natural Radioactivity of the Water and its Association with the Physico-Chemical Parameters: Abu Tig, Assiut, Egypt
Ghada Salaheldin1*, Ahmed Sefelnasr2 and Hany El-Gamal1
1Department of Physics, Assiut University, Egypt
2Department of Geology, Assiut University, Egypt
Submission: March 21, 2019; Published: April 18, 2019
*Corresponding author: Ghada Salaheldin, Department of Physics, Faculty of Science, Assiut University, Assiut 71516, Egypt
How to cite this article: Ghada Salaheldin, Ahmed Sefelnasr, Hany El-Gamal. Spatial Distribution of the Natural Radioactivity of the Water and its Association with the Physico-Chemical Parameters: Abu Tig, Assiut, Egypt. Int J Environ Sci Nat Res. 2019; 18(4): 555991. DOI:10.19080/IJESNR.2019.18.555991
Abstract
Activity concentrations of radionuclides (226Ra, 222Rn, 232Th and 40K) and physico-chemical parameters (Temperature, pH-value and total dissolved solids (TDS)) were measured for drinking water samples collected from Abu Tig, Assiut Governorate, Egypt. The samples were measured by gamma-ray spectrometry technique using HPGe detector with specially designed shield. The average activity concentrations were (235.71 ± 34.04mBql−1), (58.26 ± 10.29mBql−1), (624.08 ± 69.29mBql−1) and (0.184 ± 0.11Bql−1) for 226Ra, 232Th, 40K and 222Rn respectively. The average annual effective doses due to ingestion of these waters were 60.79μSvyr−1, 74.75μSvyr−1, and 41.81μSvyr−1 for different age groups adults, children and infants, respectively. There is no correlation between radionuclides and physico-chemical parameters. The obtained results were lower than the reference level of the committed effective dose recommended value (0.1mSvyr−1) as reported by World Health Organization (WHO), indicating to the safe use of the examined water.
Keywords: Natural Radioactivity; Annual effective dose; Drinking water; Abu Tig
Introduction
Most environmental studies provide the best ways to preserve water and improve its quality for the necessity of human life. Water may be a factor for the transport of pollutants by human consumption.
radionuclides cause health hazard by ingestion and through the human food chain when these radionuclides are taken to the body [1]. So that it is necessary to achieve the minimum radiation exposure to the human body and not skipped the reference dose level (RDL) of the effective annual dose of drinking water consumption of 0.1mSvyr-1 reported by WHO [2].
The main naturally occurring radioactive isotopes in water are uranium isotopes, radium isotopes, and radon isotopes, these radionuclides are mainly soluble in water [3]. The production of these radionuclides in groundwater is mainly from rock-water interactions. The levels of radioactivity in groundwater depends on many factors such as the concentrations of these radionuclides in the aquifer rocks, geomorphology, and lithology other ecological conditions of aquifer [4,5], depending also on chemical reactions and the physical processes of decay along the water-rock interface.
226Ra is an alpha emitter with longest a half-life of 1602yr, it originates from the 238U decay series and its descendant 222Rn has a half-life of 3.8d. 228Ra is a beta emitter with a half-life of 5.75yr and it originates from 232Th series. 40K is also radioactive and has a half-life of 1.3x 109yr. Generally, radium concentrations in surface water range from 0.01 to 0.1Bql-1 [6], while its concentration in groundwater can reach values up to 38Bql-1, depending on the factors mentioned previously. 222Rn is produced which is a gaseous radioisotope and diffuses into the pore water of rock formation. The 222Rn concentration in groundwater reaches to 183Bql-1 [7]. The recommended reference level of radon concentration in tap water is 150Bql-1 as considered by [8].
The levels of detection of radon in water research are explained by the sovereignty of granite rocks as well as the rocks of aquifers under investigation. Increased risk of many types of cancer is associated with exposure to radon and its progeny [9]. In addition, the high concentrations of 222Rn in water samples indicate the presence of the radon’s parent nuclide 226Ra in the water-rock/soil system, which is known as the health hazard when ingestion during drinking water [10].
The present study attempts to report the results of drinking water radium, thorium, potassium and radon survey in Abu Tig, Assiut Governorate, Egypt. The inhabitants of villages and rural areas in the study area are totally dependent on groundwater and on surface water of the Nile River for water supply.
The present work aims to understand the occurrence and classification of natural radionuclides 226Ra, 232Th, 40K and 222Rn in drinking water samples from study area and in a first approach to estimate natural radionuclides exposure levels for inhabitants of this region to estimate radiation doses for several ages due to water consumption by people living in this region. The results might provide some helpful information for management of drinking water use.
Materials and Methods
Description of study areas
Assiut Governorate is the most populated governorate in Upper Egypt with more than 5 million inhabitants. Abu Tig is a big district within Assiut Governorate that located on the western bank of the river Nile, between Latitudes 26o 57’ 56.8” and 27o 6’ 59.6” N and Longitudes 31o 11’52.9” and 31o 22’ 10.7” E. Abu Tig has a surface area of about 129km2. It has almost 264,087 inhabitants. Physically, it is bounded to the east by the River Nile and bounded on the western side by the Eocene limestone plateau. The drinking water samples were collected from the area under interest in the period of normal water flow rates within the Nile (Figure 1).

Sampling and sample preparation
A total of twenty-seven samples were collected from various locations from the study region and classified into three types; surface water, hand-dug wells and deep wells. Standard Polyethylene Marinelli beakers (1 liter) are used as measuring containers. Before utilizing, the containers are washed with HCl and swilled with distilled water. A tad bit of nitric acid, around 0.5ml HNO3 per liter, was added to clear solution to forbid any loss of radium isotopes around the container walls, and to avert growth of microorganisms [11]. After filling up the beaker to the brim, a tight cap is pressed on to completely remove the air from it. The samples store for over thirty days to arrive secular equilibrium before a radiometric analysis. Each sample is counted for almost 172800 second relying on the radionuclide’s concentrations.
Gamma spectrometry
Water samples were subjected to a gamma ray spectrometer with a detector had closed-end coaxial Gamma-ray crystal made of high purity germanium in a vertical configuration cooled with liquid nitrogen. The energy resolution of the detector reads approximately 2.000keV and ≤ 0.925keV at 1.33MeV and 122keV, respectively, while the relative efficiency is 40μ. The germanium crystal is existed inside a lead shield to decrease the environmental background. The shield consists of four layers with the following specifications: a low carbon steel of 9.5mm thick as an outer jacket, a bulk shield of lead of 10cm thickness, and graded linings to absorb low energy X-rays of 1.0mm tin and 1.6mm copper [12].
The spectrometer was energy-calibrated using radioactive standards of known energies such as 137Cs (662keV) and 60Co (1172 and 1332keV) and it was calibrated for efficiency using Canberra’s ISOCS calibration utility instead of standard source [12].
226Ra concentration was determined using gamma-lines of 214Bi and 214Pb for different energy (609.31, 1120.29, and 1764.49KeV) and (295.22 and 351.93KeV) respectively. The concentration of 232Th was measured using gamma lines of 228Ac, 212Pb and 208Tl for different energy (911.2 and 968.97KeV), (238.63KeV) and (583.19 and 2614KeV) respectively. Finally, 40K concentration was determined one peak at 1460.8KeV.
Dose calculation
To calculate possibility health hazards, the effective dose radiation, DR (mSv/yr), doses arising from the ingestion of these waters were assessed using following equation [8,13],

Where A is the activity (Bq/L), ID is effective dose equivalent conversion factor (mSv/Bq), and IR is the ingestion of water for a person in a year (L/yr). The conversion factors for infants (9.6×10-4, 4.5×10-4 and 4.2×10-5mSv/Bq), for children (8×10-4, 2.9×10-4 and 1.3×10-5mSv/Bq) and for adults (2.8×10-4, 2.3×10- 4 and 6.2×10-6mSv/Bq), were utilized for 226Ra, 232Th and 40K respectively as reported by IAEA, ICRP, and WHO [14-16]. The dose was estimated by knowing consumption rate for adults, children and infants of 730, 350, and 150L/yr respectively.
Results
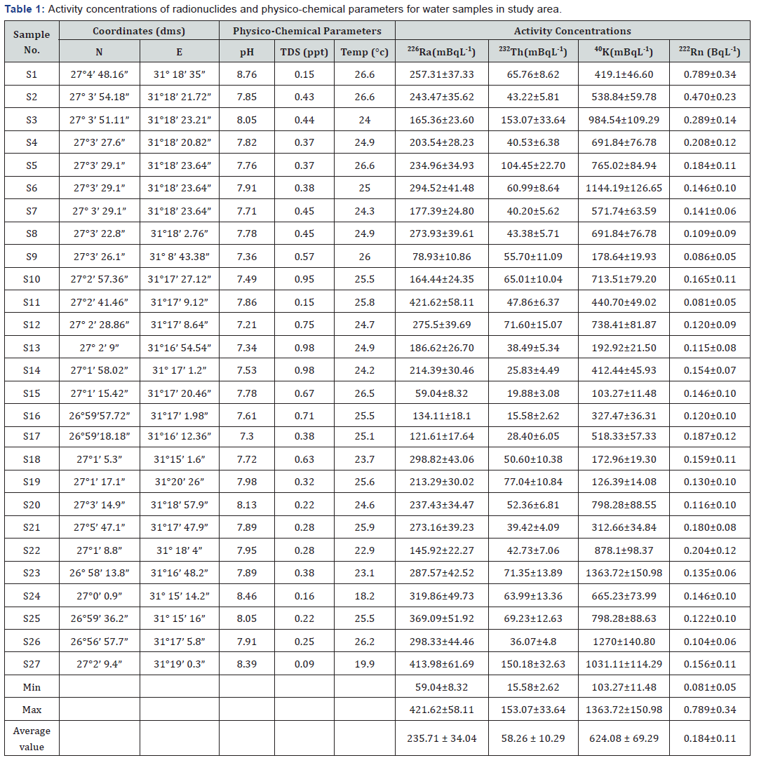
Activity concentrations of 226Ra, 232Th and 40K for the drinking water samples collected from various locations in Abu Tig region are listed in Table 1 and shown in Figure 2. The concentrations of 226Ra, 232Th and 40K changed from 59.04 ± 8.32 to 421.62 ± 58.11mBq/L, from 15.58 ± 2.62 to 153.07 ± 33.64mBq/L and from 103.27 ± 11.48 to 1363.72 ± 150.98mBq/L, respectively. The average measurements are 235.71 ± 34.04mBq/L, 58.26 ± 10.29mBq/L and 624.08 ± 69.29mBq/L for 226Ra, 232Th and 40K, respectively.



There is no clear correlation between 226Ra, 232Th and 40K in this study region, where a weak correlation can be found between (226Ra and 232Th), (226Ra and 40K) and (232Th and 40K) with a correlation coefficient of R2= 0.1156, 0.1551 and 0.1794, respectively.
222Rn activity concentration in drinking water samples fluctuated between 0.081 ± 0.05 to 0.789 ± 0.34Bq/L with an average value of 0.184 ± 0.11, All the samples are below the maximum contaminant level (MCL) of 11.1BqL-1 [24] and 11BqL-1 as proposed by the US Environmental Protection Agency [25] the concentration of radon changes depending on the zone resulting from its geological structure. as well as, the depth of the source of water, do not rule out climate change and geo-hydrological processes occurring in the region [26]. 222Rn concentration in present work is greater than that reported in Egypt [27] and less than that reported from other countries, as Table 2.

222Rn and 226Ra activity concentrations are listed in Table 1. There is no correlation between them where the correlation coefficients R2 =0.0009 as shown in Figure 3.
Physico-chemical properties of drinking water samples in study region are listed in Table 1. TDS, pH-value and water temperature ranged from 0.09 to 0.98ppt, from 7.21 to 8.76 and from 18.2 to 26.6°C, respectively. There is no correlation between physico-chemical parameters and radionuclides 226Ra, 232Th, 40K and 222Rn where the correlation coefficients R2 in all cases are less than 0.2 as shown in Figure 4, except a moderate correlation was observed between 226Ra activity concentration and pH-value and TDS with correlation coefficient R2= 0.2159 and 0.2667 respectively. Also, between 222Rn activity concentration and pHvalue with correlation coefficient R2=0.2527.

The Annual Effective Dose
The annual effective doses are given in Table 3 for various ages: adults, children and infants due to ingestion of 226Ra, 232Th and 40K through drinking water from different areas in study region. The annual effective dose fluctuated between 10.49 to 76.25μSvyr−1 with an average value of 41.81μSvyr−1, between 19.02 to 135.85μSvyr−1 with an average value of 74.75μSvyr−1 and between 15.87 to 114.50μSvyr−1 with an average value of 60.79μSvyr−1 for infants, children and adults respectively. Figure 5 shows that doses received by children were higher than that received by infants and adults; this is because children have small bodies. They are in the developmental stage, because their organs and bones are not yet complete. Therefore, the dose which they are exposed to is large compared to adults. In addition to being shorter than adults, they may get a higher dose of radioactive distributed in and deposited on the ground [28].


The estimated average values for the annual effective dose for adults, children, and infants approximately %60.79, %37.38 and %16 of the recommended reference values of 100, 200 and 260μSvy−1 respectively [14,16,29-34].
Conclusion
The present study is a contribution to study behavior and distribution of radioactivity levels of 226Ra, 222Rn, 232Th and 40K which measured in drinking water from densely populated area, which is Abu Tig city, Assiut Governorate, Egypt, using gamma-ray spectrometry technique using HPGe detector. The results clearly showed low concentrations of activity in the studied area. The presence of 40K in groundwater is attributed to the anthropogenic activities represented by the application of the agricultural fertilizers. The results of this study include the assessment of annual effective dose for adults, children and infants. The results of doses which received by children are the highest. The average annual effective doses for all radionuclides of drinking water consumption per year is much less than the recommended reference level and consequentially, therefore recommend that, the water that has been investigated be acceptable for human consumption for life. There is no clear correlation between 226Ra and 222Rn, as well as, no correlation between physico-chemical parameters and radionuclides.
References
- Malanca A, Repetti M, de Macêdo HR (1998) Gross alpha-and betaactivities in surface and ground water of Rio Grande do Norte, Brazil. Appl Radiat Isot 49(7): 893-898.
- WHO, World Health Organization (1998) Guidelines for drinkingwater quality: recommendations (Vol 1): World Health Organization.
- Abdurabu WA, Ramli AT, Saleh MA, Heryansyah A (2016) The activity concentrations of 222Rn and corresponding health risk in groundwater samples from basement and sandstone aquifer; the correlation to physicochemical parameters. Radiation Physics and Chemistry 127: 34-41.
- Kraemer TF, Genereux DP (1998) Isotope tracers in catchment hydrology. In: McDonnell JJ, Kendall C (Eds.), Applications of Uraniumand Thorium-Series Radionuclides in Catchment Hydrology Studies. Amsterdam, Netherlands, pp. 679-722.
- Porcelli D (2008) Investigating ground water processes using U and Th series nuclides. In: Krishnaswami S, Cochran JK (Eds.), Radioactivity in the Environment 13: 105-152.
- Iyengar MAR (1990) The natural distribution of radium. The environmental behavior of radium, Technical Reports Series No. 310, International Atomic Energy Agency, Vienna, pp. 59-128.
- NCRP (National Council on Radiation Protection and Measurements) (1984) Exposures from the Uranium Series with Emphasis on Radon and its Daughters. NCRP Report No. 77, Bethesda, MD.
- EPA (Environmental Protection Agency) (1999) Final draft for the drinking water criteria document on radium, US Environmental Protection Agency, Washington, DC, Tr-1241-85.
- USEPA (U.S Environmental Protection Agency) (1999) National primary drinking water regulation; radon-222, Proposed Rule.
- Pohl-Rüling J, Hofmann W (2002) Investigation of cancer mortality in the Gastein Valley, an area of high-level natural radiation. International Congress Series 1236: 27-29.
- Navratil JD, Greenwell RD, Macasek F (1997) Radioactive waste management and environment restoration. Paper presented at the Proc Int Conf Singapore.
- Canberra (2013) Germanium Detectors User’s Manual. Canberra Industries, Inc, all rights reserved.
- Degerlier M, Karahan G (2010) Natural radioactivity in various surface waters in Adana, Turkey. Desalination 261(1-2): 126-130.
- IAEA (International Atomic Energy Agency) (1996) International Basic Safety Standards for Protection against Ionizing Radiation and for the Safety of Radiation Sources. Safety Series 15, Vienna.
- ICRP (International Commission on Radiological Protection) (1996) Age-dependent Doses to Members of the Public from intake of Radionuclides: Part 5 Compilation of Ingestion and Inhalation Dose Coefficients (ICRP Publication 72): IOP Publishing, UK.
- WHO (World Health Organization) (2003) Guidelines for Drinking Water Quality? World Nuclear Vol. 3-Chapter 9 Drafts, Geneva, Switzerland.
- Ahmed NK (2004) Natural Radioactivity of Ground and Drinking Water in Some Areas of Upper Egypt. Turkish J Eng Env Sci 28: 345-354.
- Osman AAA, Salih I, Shaddad IA, El Din S, Siddeeg MB, et al. (2008) Investigation of natural radioactivity levels in water around Kadugli, Sudan. Applied Radiation and Isotopes 66(11): 1650-1653.
- Yussuf NM, Hossain I, Wagiran H (2012) Natural radioactivity in drinking and mineral water in Johor Bahru (Malaysia). Scientific Research and Essays 7(9): 1070-1075.
- Al-Shboul KF, Alali AE, Batayneh IM, Al-Khodire HY (2017) Radiation hazards and lifetime risk assessment of tap water using liquid scintillation counting and high-resolution gamma spectrometry. J Environ Radioact 178-179: 245-252.
- Kpeglo DO, Mantero J, Darko EO, Emi-Reynolds G, Akaho EH, et al. (2014) Radiological exposure assessment from soil, underground and surface water in communities along the coast of a shallow water off shore oilfield in ghana. Radiat Prot Dosimetry 163(3): 341-352.
- El-Mageed AIA, El-Kamel AH, Abbady AB, Harb S, Saleh II (2013) Natural radioactivity of ground and hot spring water in some areas in Yemen. Desalination 321: 28-31.
- Agbalagba EO, Onoja RA (2011) Evaluation of natural radioactivity in soil, sediment and water samples of Niger Delta (Biseni) flood plain lakes, Nigeria. J Environ Radioact 102(7): 667-671.
- WHO (World Health Organization) (2008) Guidelines for Drinkingwater Quality [electronic resource]: incorporating 1st and 2nd addenda, Vol 1, Recommendations.
- EPA (Environmental Protection Agency) (1991) Final draft for the Drinking Water Criteria Document on Radium. U.S. Washington, DC, TR-1241-85.
- Althoyaib SS, El-Taher A (2015) Natural radioactivity measurements in groundwater from Al-Jawa, Saudi Arabia. Journal of Radioanalytical and Nuclear Chemistry 304(2): 547-552.
- Abbady A, Ahmed NK, Saied MH, El-Kamel AH, Ramadan S (1995) Variation of 222Rn concentration in drinking water in Qena Bull Fac Sci 24: 101-106.
- UNSCEAR (United Nations Scientific Committee on the Effects of Atomic Radiation) (2013) Sources, effects and risks of ionizing radiation, Report to the General Assembly with Scientific Annexe B. New York: United Nations, USA.
- UNSCEAR (United Nations Scientific Committee on the Effects of Atomic Radiation) (2000) Report to the General Assembly. Annex B: Exposure from Natural Radiation Sources. United National, New York, USA.
- Marques AL, Dos Santos W, Geraldo LP (2004) Direct measurements of radon activity in water from various natural sources using nuclear track detectors. Appl Radiat Isot 60(6): 801-804.
- Muhammad BG, Jaafar MS, Azhar AR, Akpa TC (2012) Measurements of Rn-222 activity concentration in domestic water sources in Penang, Northern Peninsular Malaysia. Radiat Prot Dosimetry 149(3): 340- 346.
- Nguelem EJM, Darko EO, Ndontchueng MM, Schandorf C, Akiti TT, et al. (2013) Assessment of Natural Radioactivity Level in Groundwater from Selected Areas in Accra Metropolis. Research Journal of Environmental and Earth Sciences 5(2): 85-93.
- Isam Salih MM, Pettersson HB, Lund E (2002) Uranium and thorium series radionuclides in drinking water from drilled bedrock wells: Correlation to geology and bedrock radioactivity and dose estimation. Radiat Prot Dosimetry 102(3): 249-285.
- Zhuo W, Iida T, Yang X (2001) Occurrence of 222Rn, 226Ra, 228Ra and U in groundwater in Fujian Province, China. J Environ Radioact 53(1): 111-120.

















