Forage Production Potential of Maize Cowpea Intercropping In Maichew-Southern Tigray, Ethiopia
Abraha Negash*
Ethiopian Meat and Dairy Industry Development Institute, Bishoftu, Ethiopia
Submission: June 01, 2018; Published: June 15, 2018
*Corresponding author: Abraha Negash, Ethiopian Meat and Dairy Industry Development Institute, Bishoftu- Ethiopia, Tel: 0914539581; Email: abrahane12 @gmail.com
How to cite this article: Abraha N. Forage Production Potential of Maize Cowpea Intercropping In Maichew-Southern Tigray, Ethiopia. Int J Environ Sci Nat Res. 2018; 12(3): 555837. DOI:10.19080/IJESNR.2018.12.555837.
Abstract
Needless to mention the ever increasing pressure on cultivated land for food & commercial crops, diminishing the area for forage production. RCBD five treatments with three replications experiment compared maize grown as sole crop with maize-cowpea intercropped to assess agronomic, nutritional and economic returns of forage production. Average plant performance ranged 122.85-174.19cm maize plant height; 20.7-26.4cm ear length, & number of leaves/maize plant was 9.13-10.52. The effect of intercropping treatments on maize forage yield was significant (P<0.05), however, there was no significant difference in grain yield among the cropping systems though T5 yielded higher and higher 100 maize grains weight followed by T4 yield and 21.74g average 100 maize grain weight; T3 (3.05ton/ha) and 21.84g average 100 maize seeds and the least in yield was actually the sole maize T2 (2.24ton/ha), confirming that intercropping has at least, some scenario better than sole cropping practices. There was no significant soil NPK effect pre-sowing and postharvest. Nutritionally, feed quality of maize parts was significant difference among the intercropping systems that stated in their descending value of cowpea hay, as follows: NDF (T3>T1>T5>T4); ADF (T1>T5>T3>T4) and typical in CP. lignin content (T1>T5>T4>T3), while IVDMD% (T3>T4>T5>T1). NDF content was significantly higher in maize stem and least in grain. Maize husk significantly over dominated in ADF content than stem, leaf and grain in descending order. ADF content was great significant in the entire parts that maize husk has higher than stem which exceeds leaf. Grain was the least in ADF content of all maize parts. Similarly, maize stem was significantly higher in lignin than husk, leaf and grain. LER was 1.45 in the mixtures indicating yield advantage over sole crops. T4 has the potential for enhancing cowpea and maize performances. Favorable seasons for better DM yield and chemical composition of both crops should be researched.
Keywords: Maichew; Forage; Maize-Cowpea Intercropping; Yield; Chemical Composition
Introduction
Background and Justification
Farming systems in most Africa is under serious threat due to increasing population growth and environmental degradation. The difficulty has highlighted the need to take an overall view of land management that is not limited only to livestock & crop production systems but also includes the need to conserve natural resources [1,2]. Currently, arable farming is expanding at the expense of traditional grazing land. This is putting pressure on grazing resources resulting inadequate feed resource for livestock both in terms of quality and quantity [3,4]. Belete [5] also reported that production increases resulted from expanding cultivated area not from increasing yield, despite the fact that the land frontier, especially in the highlands, has shrunk. Under these situations, development of integrated forage-cereal-livestock systems offers method of accommodating & improving crop - livestock production systems [6,7]. Although farmers often appreciate the need for fertilizer inputs, the demand isn’t effective due to high prices, insecure supplies, and in some cases because farmers have a high aversion to the risks associated with food production in marginal agroclimatic &socioeconomic conditions. Fertilizer prices at farm gate are also excessively high due to thin markets, lack of domestic production capacity, poorly developed infrastructure, and inefficient production systems [8].
Statement of the Problem
90% of animal feed supply is expected from natural range. This however, is available in marshy areas, rift-valleys, mountain scarves which are also diminished from time to time because of overstocking, overgrazing, and frequent droughts. Due to ever increasing pressure on cultivated land for food and commercial crops, it may not be possible to increase the area for forage production [9]. Integration gap in livestock-crop interactions created problems facing forage development in Ethiopia acting bottleneck to livestock productivity [10]. Growing of forage legumes intercropping enables to use the small farm land for both crop and feed production. The system offers a potential for increasing fodder without appreciable reduction of grain production.
Objectives of the Study
a) To evaluate effect of maize and cowpea mixtures on the agronomic practice.
b) To determine impact of intercropping on nutritional content of the crop parts.
c) To assess forage production potential of maize and cowpea intercropping on economic returns.
Materials and Methods
Description of the Study Area
The research was conducted in Maichew ATVET farm land, from July 20- December 30, 2011, located at 12° 47’ N latitude 39° 32’ E longitude, 2450m.a.s.l. It has 600-800mm rainfall, 12-24oC temperature, and 80% relative humidity. The hottest months are April-June with average 22.92°C; whereas the coldest months are November- January with 12.47°C on average. The district is situated about 120 km south of Mekelle city, North of Ethiopia. In the highland mixed crop- livestock farming system, maize, wheat, normal barley, 6 row barley (“Abiy-ekli”), Teff, pulses such as dekoko, chickpea, vetch, beans and peas are the main cash crops in the zone. Despite the mountainous terrain which limits availability of cultivable land, the combination of fertile soils, adequate rainfall and suitable temperatures produce good yields which make this zone food sufficient comparatively.
Experimental Design and Treatments
Five treatments (two monocultures and three mixtures of maize & cowpea) were included in the experiment with a proportion; 1C:1M for T4, 1C:2M for T5 and 2C:1M for T3 and sole crops of cowpea (T1) and maize (T2) included as check to compare yields of intercropped mixtures. The experimental design was RCBD with three replications. The treatments included seed proportions as follows 144:0 (100% cowpea), 0:144 (100% maize), 96:48 (67% cowpea: 37% maize), 72:72 (50% cowpea: 50% maize) and 48:96 (33% cowpea: 67% maize). The land was ploughed and ridged then divided into 15 plots (3.6m x5.4m= 19.44 m2 each) and 1m plot spacing, in 18.2m *22m= 400.4m2 leveled total area. Frost damaged the cowpea forage on 26th December 2011 night that Maichew meteorological station recorded -10c, after 10% pod formation and early blooming. Based on the indigenous knowledge practices of the surroundings, the research maize (Katumani/Beletech) termed “Arkib or Fetino” for its fast growing yellowish small sized deemed as reliable in the late on set and early cessation rainfall pattern and Cowpea, the multipurpose legume was supposed to minimize the cost of production for fertilizer under nitrogen-limiting conditions and under water-limiting conditions, so that the requirements for maintenance of high intercrop maize yields can be defined.
Sampling Procedure, Data Collection, and Analysis: Soil sample collected diagonally from the middle 3 rows of the plot for both pre-sowing (surface level during bed preparation) and post harvest (from roots of the crops). Laboratory analysis for soil and plant NPK was conducted using wet chemistry technique while DM and Fiber contents using NIRS. Dry oven used to determine plant DM% and other chemical analysis in 65oC for 24 hours and to analyze soil NPKs in 105oC for 24 hours. Fresh matter yield was estimated from harvesting herbage from 3.6m x5.4m quadrant in the central rows of each plot. The dried composite forage and grain samples from each treatment were milled to pass via a 1mm sieve for targeted analysis. Maize and cowpea forages as well as maize grain quality were determined in terms of percentage: - NPKs, CP, Ash, DM, ADF, NDF, ADL, IVDMD and soil NPK analysis. Yields were assessed based on intercropping indices as measures ratio of individual LERs, Monetary Advantage Index (MAI) an indication of the economic values of grain and stover produced estimation, germination rate and time to reach blooming were considered for quantitative statistics. In each experiment, sowing was done by row method. All other cultural management practices including (watering, thinning and weeding) were kept normal and uniform for all the treatments Table 1.

The collected samples analyzed for DM, CP and ash according to the procedures and NDF, ADF and ADL determined according to the method of Van Soest [11]. For DM yield determination, two middle rows were harvested when the maize component reached dough stage and the harvested biomass was then be separated in to grass and legume components. The fresh weight recorded just after partitioning and the sub samples of each component species forced in dry oven at 65oC for 24 hours to determine the DM content. This percentage DM used to determine herbage yield on per hectare basis. Biological yield advantages and species compatibility of the intercropping were assessed using LER. If LER is greater than one, then intercropping has a yield advantage [12-14]. The chemical analysis of the feed samples was done using the standard methods AOAC. Nitrogen was analyzed using the Kjeldhal procedure and crude protein was determined by multiplying %N by the factor 6.25. NDF and ADF determined by the procedures described by Goering and Van Soest. IVDMD was determined using Tilley and Terry in vitro technique. Soil and plant NPK was determined followed by maize and cowpea plant parts Near-infrared Reflectance Spectroscopy. Samples were dried, ground and sieved.
Statistical Data Analysis
Data analyzed by ANOVA, Correlation manipulated using basic statistics and LSM difference student’s t test of JMP 5 (2002) The statistical model was:
Yij = μ + Bi +Tj + Eij
Where, Yij=observation in block i and treatment j, μ=Overall sample mean, Bi=Effect of block j, Ti= Effect of treatment i, Eij = Error.
Materials and Methods
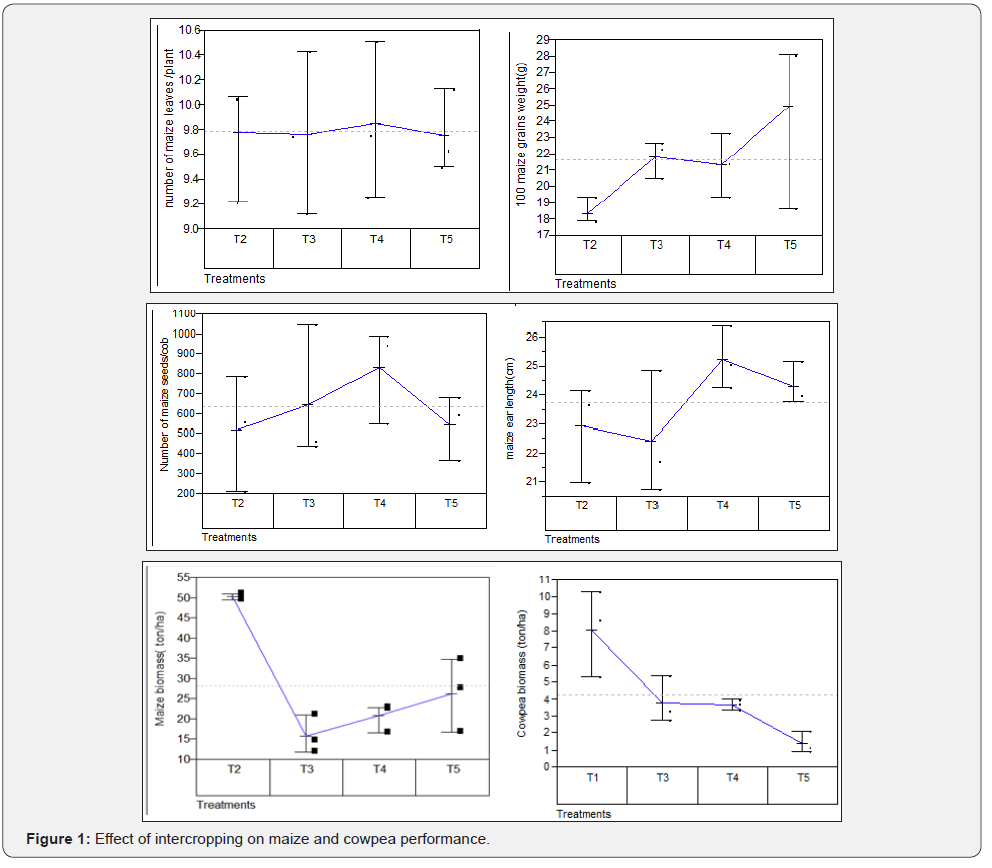
Germination rate was more than 75% for both crops within a week time and maize started tasseling on 3rd month while cowpea begun blooming on the end of 4th month. In the study plot 400m2 there have been 713 cowpea and 955 maize plants that had 1780 maize ears (1.86 ears/maize plants) of which 937 ears (52.64%) had been fruitful bearing seeds and 5.73% out of the total maize, were also damaged by birds even though closely guarded during early mornings and late evenings. Damaged ears were covered using maize leaf or plastics. In both crops, sole cropping and higher ratio of respective seed outweigh the intercropping due to minimum inter-competition. In cowpea (Table 2) forage yield T1 was highly significant (p<0.05) than other cowpea intercropping systems which were likely to each other. T1 produced more DM% than in intercropping systems. T5 has the lowest cowpea DM, and shortest cowpea plant height, due to reduced cowpea growth. Cowpea DM production in sole cropping increased with increasing cowpea density and produced more DM compared to intercropped planting patterns. This indicated that competition for resources in intercropping reduced cowpea growth and also resulted in a decreased growth rates (Figure 1). The effect of forage integration treatments on maize forage yield was significant (P<0.05), however, there was no significant difference in grain yield among the cropping systems though treatment 5 yielded higher (5.46 ton/ha) and higher 100 maize grains weight (24.98g), followed by treatment 4 (4.38 ton/ha) yield and 21.74g average 100 maize grain weight; treatment 3 (3.05 ton/ha) and 21.84g average 100 maize seeds and the least in yield was actually the sole maize treatment 2 (2.24 ton/ha) as indicated in (Tables 2 & 3).


There were no remarkable differences (P > 0.05) in maize plant height due to the intercropping, rather the maize sole crop outweighed, followed by reducing proportion of the cowpea. Maize leaf number/plant were 99.7% similar (p>0.05) among treatments that there was no use of variation in cropping system, however, T4 formed significantly higher leaf number from other treatments. Maize biomass was higher in the sole crop followed by T5 where the seed ratio outweighed others. T4 and T3 maize biomass was typical also (Figure 1). There was no significant (p > 0.05) difference in maize ear length and grains/cob among the treatments. However, T4 were significantly higher from others, both in maize ear length and grains/cob, indicating that maize ear length determined number of grains/cob in maize plants (Table 2).

Similar to many studies, number of growing days in the highland (2450 m.a.s.l) was supposed to reach in 3 months, but everything delayed to 5 months. The research result agree red with Samuel and Mesfin [15]; Diriba and Lemma [4], who reported that high biomass of maize in sole crop, compared to their respective intercrops has been obtained due to interspecific completion and rust damage of the maize. Maize yield reduction in intercropped compared to T2 could be due to a higher degree of interspecific competition in mixed stands and the absence of interspecific competition in the sole crops similar to the investigation [9]. Results from previous studies indicated that shade effects on growth and yield of legume crops decreased DM yield and increased plant height [15]. Thobatsi [14] has also reported that taller maize cultivars result in lower yield of intercropped cowpeas, compared to shorter cultivars due to the increased shading effects. Contrary to the studies of shade effect on the cowpea, the research enabled to determine maize nursing effect from frost damage on cowpea.
The increase in DM% production of maize in intercropping compared T2 might be attributed to the fact that maize is a more aggressive component crop in the intercropped system. Similar results had been reported by numerous investigators [15] who found that DM production increased when maize is intercropped relative to sole maize. Cowpea DM production in sole cropping increased with increasing cowpea density and produced more DM compared to intercropped planting patterns. This indicated that competition for resources in intercropping reduced cowpea growth and also resulted in a decrease in growth rates. Legume growth suppression by maize in intercropping systems has been reported [16]. Maize-cowpea intercrops reduced density and weed biomass when compared to sole crops. This was similar with the findings of many researches. In biomass, T2 dominated followed by T5 and T4, indicating interspecific competition scenarios in between maize and cowpea crops, which disagree with many investigators. However, maize seeds/cob directly linked with ear length that was shown in T4 similar to [16]. Mean grain yields for maize under intercropping were 51% less and for cowpea 12% less than in the respective sole crops [17]. Furthermore, maize stover yield was 14% lower under intercropping, although the additional legume stover may more than compensate because of its higher nutritive value. T4 was the best combination of component crops in intercrop due to maize seeds per cob, ear length, cowpea plant height and biomass and fair shade and frost effects. This combination of component crops proved to increase crop growth rates of both crops in this study.
Sole cowpea was significantly populated than other intercropping. T3 and T4 were likely to each other, but value wise, T3 was more populated than T4, indicating that with increase cowpea rows, there was an increase in cowpea population, getting freedom to compete alone for access to water, nutrients and sun light. Practically there was great over dominance of maize in three of the T5 replications, that cowpea plants were out of competition. T4 was significantly different from T5, though insignificant (P>0.05) from T3 and T1 which, were likely to each other in cowpea plant height. The same trend was also observed in cowpea nodule number per plant, where T1 was exceptionally different from T5. There was no significant (P>0.05) difference in cowpea biomass among the intercropping systems, however, sole cowpea had scored significantly higher biomass followed by T4 with the least T3 (Figure 1). Cowpea plant root depth among the treatments were almost 81% similar between treatments (p>0.05) not significant but T4 was greatly significant (P>0.05) than T5, T3 and T1 in descending order (Table 2). Intercropping had a consistent deleterious effect on cowpea performance, but any competitive effects were small. Cowpea plant height positively correlated with its biomass and number of cowpea plant/plot with nodule number, that indicated they do affect each other. But there was no correlation in between number of cowpea plants/ plot with plant height and cowpea root depth.
There was no correlation in between number of nodule with cowpea plant height, cowpea biomass and cowpea root depth. Maize plants/plot was almost perfectly positively correlated with maize biomass (0.98) & maize ear number/ plant (0.96) that positively correlated with plant height but no correlation with ear length, grains/cob and grain weight. Maize leaf number was only positively correlated with plant height that indicated directly influenced to each other, no relation with ear length, grains/ cob, ear number/plant, grain weight and biomass. However, leaf number should be correlated with maize biomass, which correlated with plant height. Maize plant height also positively correlated with ear length, biomass and ear number/plant, but not correlated with grain weight and grains/cob indicating no influence. Maize biomass was also perfectly positively correlated with ear number/plant that directly affected. There was weak correlation in between biomass of maize & cowpea that there may not affect each other. Number of cowpea plants/ plot did not affected number of maize plants/plot that do weakly correlated, but negatively affected maize grain weight. Nodules/ cowpea plant was negatively correlated with maize ear length which affected number maize grains/cob.
Thobatsi [14] reported that maize grain yield was significantly correlated to number of ears/plant and to 100 seeds weight. The planting pattern T5 has displayed lower cowpea plants performance in height and population that contradicts with Moriri [9] study who reported the 2rowsM:4rowsC pattern has the lowest cowpea dry matter, and taller cowpea plant height, all of these being attributed to reduce cowpea growth. In agreement with Moriri [9] study T4 pattern was the best combination of component crops in intercrop due to higher dry matter production. This combination of the component crops proved to increase crop growth rates of both crops in the study. Thorne [17] reported maize grain lower (0.5 ton/ha) than the bench marked production of the study area (0.7 ton/ha) and the actual intercropped low input farming trial as reported in (Table 3).
Effects Intercropping on Plant Chemical Composition
The levels of DM, IVDMD, NDF and ADF were higher in maize than in cowpea. However, lignin, CP and ash were higher in cowpea than maize.The interaction impact significantly (P<0.05) affected in cowpea forage composition in many of the criteria such as DM, Ash, NDF, ADF, lignin and IVDMD in different angles. There was significant difference among the intercropping systems that stated in their descending value, as follows: NDF% (T3>T1>T5>T4); ADF % (T1>T5>T3>T4) and typical in CP% as well as lignin content % (T1> T5>T4>T3), while IVDMD% (T3>T4>T5>T1). There was marked (P <0.05) effect of intercropping in cowpea forage DM% that T5 was higher while T1 was the least. Cowpea Ash content was also significant (P < 0.05), and that of T4 has higher value while T3 was the least. There was no significant difference (P > 0.05) in between maize leaf and husk as well as maize grain and stem in DM% content. However, Maize leaves were significantly higher while maize stem was the least of all. Ash content was significantly (P < 0.05) different with higher value in maize leaf and least in grain which was actually higher in CP% (P < 0.05; 9.86) than leaf (6.57), husk (4.40) and stem (3.64). Interaction significantly (P < 0.01) affected NDF content that maize stem was higher and the least in grain. Maize husk was significantly over dominant in ADF content than stem, leaf and grain with their descending order. There was great significant in ADF content in the entire maize parts that maize husk has higher ADF than stem which exceeds leaf. Grain was the least in ADF content of all the maize parts. In general, low NDF values are desired because NDF increases as forages mature. Similar to the general fact maize stem was significantly (p<0.05, 7.87%) higher in lignin than husk (6.62%), leaf (4.13%) and grain (1.23%). There is significant difference in IVDMD% content from maize grain to leaf, husk and stem, that grain was better digestible and absorbed in body tissues. Grain was the least in ADF; husk was the highest, indicating that it is poor in digestibility.
The chemical composition of the research forage was in the range of Ethiopian forage nutritive value as stated by Duncan [18]. In turn, cowpea also presented CP values similar to those found in the literature. Dahmardeh et al. [19] reported that maximum ADF (31.85%) was recorded by sowing maize alone while increasing the proportion of cowpea seeds to 50% in intercropping with maize, resulted in the lowest ADF (25.89%). Intercropping of cereal and legume can improve forage quality in terms of Ash. There was no difference in Phosphorus and IVDMD composition in maize stover and in maize grain of DM and CP, from Duncan [18] findings, higher ADL (6.2%) than 3.98%.
Intercropping Effects on Soil Nitrogen, Phosphorus and Potassium Contents
The soil parameters did not vary significantly (p>0.05) across treatments pre-sowing and post harvest. However, it is worth noting that intercropped plots did not receive fertilizer, and yet available nitrogen and phosphorus content was not significantly different. However, there was slight difference that higher N2 and P available pre-sowing, this indicated that total yield per unit area was improved through intercropping without visible impact on soil nutrient status. Available nitrogen was markedly lower and differences were less evident at the final sampling, probably, due to the increased use of the nutrients by the improved growth of the crops. There was significant Potassium (K) variation (p<0.05) pre-sowing and post harvest ppm. The result in NPK ranged in medium as to recommendations. Available potassium in the soil post harvest was diminished and higher in the maize leaves and husks.
This coincided with Lindquist [20] that intercropping means sowing forage seeds usually legumes in a field where other crops are already growing, that has an advantage of producing additional animal feed from land that is already used, improves the feeding value of the crop stubble and improves soil fertility [21]. The research result coincided with Thorne et al. [17] who stated as stover fraction of the maize plant contains fewer nutrients than the grain. However, the removal of stover as fodder, construction material or fuel still represents a significant additional outflow of nutrients from the plot.
Economic Return of the Forage
Intercropping has improved economic return that T5 (1C:2M) followed by treatment 4 (1C:1M) intercropping were better to perform than treatment 2 (sole maize) and treatment 3 (2C:1M) cropping, be it for minimum competition or to resist frost damage. Cowpea had been crop of the lowlands, but the research trial could be witness that it could be feasible not only for forage value but also for seed production. With this the mono-crop was the least in terms of 100 maize grain weight and grain yield, while treatment 5, 4 and 3 the real intercropping system intervention do better performed in their sequential order. Forage yield was the reverse that mono-crop (50.38 ton/ha) was significantly different followed by T5 (26.46 ton/ha), T4 (20.82 ton/ha) and lastly T3 (15.85 ton/ ha), indicating that higher proportion of maize outweigh, due to the nature of the crop to cover a large canopy area.
A partial budgeting model was applied for economic-evaluation of the biological data. Both crops forage yield and maize grain were valued at farm-gate prices (Table 4). Incremental benefit and incremental cost for each crop treatment was calculated. The resultant benefit cost ratio (BCR) was derived as the ratio of net incremental benefit to incremental cost. It is the absolute marginal rate of return (or loss, if negative) to incremental cost. BCR is the choice criterion for ranking the alternative maizeintercrops against respective control practices. A positive BCR implies that a particular crop treatment is economically superior (yields positive marginal return) to the control treatment or practice, and vice versa. The higher the positive BCR, the more economically superior the crop treatment and vis-a-vis. From a hectare of the planting pattern 257225.60 birr was considered as return. Results indicated that the overall LER was 1.45 in the mixtures indicating a yield advantage over sole crops (Figure 2). Therefore, 45% more land should be used in sole cropping in order to obtain the same yield of intercropping, which indicates the superiority of the intercrops over pure stand in terms of the use of environmental resources for plant growth. LER > 1.0 has been reported in Eskandari, but LER<1 was reported in Thobatsi Table 5.

*Correlation significant level; ns = not significant; ht= height; wt = weight; Cwpea = cowpea; Mgrains = Maize grains


Conclusions and Recommendations
This study obviously suggested the possibility of exploiting short-term forage legume-cereal rotations where farmers could gain the benefits of forage legumes to grain production. If developed in to an intervention that can be implemented, such approach could be of an immense value to the animal and crop enterprises in mixed farming systems of highlands. In conclusion, it can be safely said that intercropping has shown its merit as a viable means of intensifying crop production, under unfertilized conditions and biotic (pests and diseases) and abiotic (frost) stresses, in the study area. The research disapproved that crop of the lowland; cowpea could perform well in highland, especially, with the global warming, increasing desertification and increasing temperature.
Maize and cowpea competed well with each other for light and nutrients in T4 mixed stand, producing a good total DM yield with moderate protein content. Cowpea deemed crop of the lowlands, but the research trial could be witness that it could be feasible not only for forage value but also for seed production. The research enabled to observe, frost damage versus intercropping that there was minimum impact on T4 of the intercropping for maize acted as nursing crop and provided protection against frost damage of the cowpea.
Frost damage was more severe in the sole cowpea than the intercropped case. On the other hand, the establishment of climbing by this legume in relation to stage of maize development was vital in intercropping providing support. Birds’ damage of the cob was higher in the sole maize for the denser population enabled to hide the birds. Frost cowpea damage was lesser in the T5 and T4 arrangements. The overall performance of the intercropping was better in the T4 arrangement which was the suitable planting pattern and has the potential to increase DM yield of maize production thereby also enhancing crop growth. In cowpea, sole cropping produced more DM than in intercropping systems. From this study it was found that the T4 and T3 arrangements have the potential for enhancing cowpea and maize growth and also reducing weed growth this combination of the component crops proved to increase crop growth rates of both crops. Maize treatment 4 indicated to have better in CP% than other planting patterns.
a) Inorganic fertilizer seemed to be an indispensable component to maximize yield output, from interventions like intercropping.
b) For highest yields, plant the targeted maize in 75 cm rows apart with in-row spacing of 30 cm.
c) Favorable seasons for better grain and forage yields of both crops as well as chemical composition during scarcity of green feeds should be researched.
References
- Alemayehu, Mengistu, Aklilu Mekasha (2007) Measurements in pasture and forage cropping systems. Ethiopian Institute of Agricultural Research. Technical manual p. 18.
- Anderson, Frank (2010) Farmer circumstances in Ethiopia and the improvement of animal feed resources. Agricultural Economist and Team Leader, ILRI Highlands Programme, ILRI, Addis Ababa, Ethiopia.
- Denekew, Yihalem, Asefa Habtemariam (2012) On-farm verification of under sowing of cowpea (Vigna unguiculata) and vetch (Vicia villosa) on maize crop for forage dry matter yield production in Northwest Ethiopia. Agricultural Research and Reviews 1(2): 53 - 57.
- Diriba, Geleti, Lemma Gizachew (2002) Integration of forage legumes in to maize based cropping systems in Western Ethiopia: Effect of intercropping of Lablab purpureus and Vicia atropurpurea on maize grain and total forage yields.
- Belete, Taffere (2003) Efforts for sustainable land management in Tigray: the role of extension. Socio-economic and policy Research working Paper 54. ILRI, Nairobi, Kenya, p. 75.
- Kassie, Menale (2011) Economic and Environmental Benefits of Forage Legume-Cereal Intercropping in the Mixed Farming System: A Case Study in West Gojam. EDRI, Addis Ababa, Ethiopia.
- Katsaruware R, Manyanhaire I (2009) Maize-cowpea intercropping and weed Suppression in leaf stripped and detasselled maize in Zimbabwe.
- Carlson Jonathan (2008) Intercropping with Maize in Sub-arid Regions. Community Planning and Analysis Technical Brief.
- Eskandari Hamdollah (2012) Yield and Quality of Forage Produced in Intercropping of Maize (Zea mays) with Cowpea (Vigna Sinensis) and Mungbean (Vigna radiate) as Double Cropped. Journal of Basic and Applied Scientific Research, Payame Noor University, Tehran, Iran 2(1): 93-97.
- Berhanu, Gebremedhin, Adane Hirpa, Kahsay Berhe (2009) Feed marketing in Ethiopia: Results of rapid market appraisal. Improving Productivity and Market Success (IPMS) of Ethiopian farmers project Working Paper 15. ILRI, Nairobi, Kenya, p. 64.
- Van Soest J, Robertson J, Lewis B (1991) Method for dietary fiber, neutral detergent fiber and non-starch polysaccharide in relation to animal nutrition. Journal of Dairy Science 74: 3583-3597
- Ghosh P (2004) Growth, yield, competition and economics of groundnut/cereal fodder intercropping systems in the semi arid tropics of India. Field Crops Res 88(2-3): 227-237.
- Tajudeen, Olusegun (2010) Evaluation of Sorghum-Cowpea Intercrop Productivity in Savanna Agro-ecology using Competition Indices. Canadian Center of Science and Education. Balewa University, Bauchi, Nigeria. Journal of Agricultural Science 2(3).
- Thobatsi T (2009) Growth and yield responses of maize and cowpea in an intercropping system. Pretoria University, Pretoria South Africa.
- Samuel, Menbere Mesfin Dejene (2004) Effect of under sowing Annual Forage Legumes on Grain and Dry Matter Stalk Yield of Sorghum (Sorghum bicolor l) and Dry Matter Forage Yield in the Eastern Amhara region. In: ESAP 2004. Farm Animal Biodiversity in Ethiopia: Status and Prospects. Asfaw Yimegnuhal and Tamrat Degefa (Eds). Proceedings of the 11th Annual conference of ESAP held in Addis Ababa, Ethiopia, August 28-30, 2003, ESAP, Addis Ababa.
- Moriri S, Owoeye G, Mariga I (2010) Influence of component crop densities and planting patterns on maize production in dry land maize/cowpea intercropping systems Sovenga, South Africa. African Journal of Agricultural Research 5(11): 1200-1207.
- Thorne P, Thornton P, Kruska R, Reynolds L, Waddington S, et al. (2002) Maize as food, feed and fertilizer in intensifying crop livestock systems in East and southern Africa: An ex ante impact assessment of technology interventions to improve smallholder welfare. ILRI Impact Assessment Series 11. ILRI, Nairobi, Kenya, pp. 123
- Duncan, Alan (2011) Nutritive value of the most commonly used feeds in Ethiopia. ILRI, Addis Ababa, Ethiopia.
- Dahmardeh M, Ghanbari A, Syahsar B, Ramrodi M (2010) The role of intercropping maize and Cowpea on yield and soil chemical properties. Agriculture Zabol University, Iran. African Journal of Agricultural Research 5(8): 631-636.
- Lindqvist, Anna (2005) Managing land: a practical guidebook for development agents in Ethiopia. Technical-handbook No.36. Nairobi: Regional land management unit (RELMA in ICRAF/world Agroforestry Center; Addis Ababa: Ministry of Agriculture and rural development pp.282.
- Mehdi D, Ghanbari A, Syasar B, Ramroudi M (2009) Effect of Intercropping Maize (Zea mays) With Cowpea (Vigna unguiculata L.) on Green Forage Yield and Quality Evaluation. Asian Journal of Plant Sciences 8: 235-239

















