Spermidine for a Long, Dementia-Free Life?
Tsikas D*, Erik Hanff and Gorig Brunner
Core Unit Proteomics, Hannover Medical School, Germany
Submission: March 28, 2017; Published: April 27, 2017
*Corresponding author: Dimitrios Tsikas, Core Unit Proteomics, Hannover Medical School, Germany, Tel: +49-511-532-3984; E-mail: tsikas.dimitros@mh-hannover.de
How to cite this article: Tsikas D, Erik H, Gorig B. Spermidine for a Long, Dementia-Free Life?. Glob J Pharmaceu Sci. 2017; 2(1) : 555576. DOI: 10.19080/GJPPS.2017.02.555576
Abstract
Spermidine, N-(3-aminopropyl) butane-1,4-diamine, is an endogenous basic compound known for more than 90 years. The biosynthesis of spermidine, its pharmacological properties including distribution, metabolism and excretion have been thoroughly investigated. Spermidine and other polyamines have been early associated with growth and aging, and were found to stabilize various cellular and subcellular components including nucleic acids due to their polyvalent cationic structures. Polyamines including spermidine have been found at elevated circulating and urinary concentrations in a variety of diseases including cancer and psoriasis. Thus, decreasing the concentration of polyamines mainly by inhibiting their biosynthesis is regarded as a realistic therapeutical strategy. Yet, more recent studies suggest that exogenous spermidine exerts beneficial effects on the brain where it protects from age-induced memory impairment, protects the heart and extents lifespan.
Supplementation of the natural compound spermidine has emerged as an autophagy and mitophagy inducer in a mice model of aging and hypertension and lowered high blood pressure. In humans, high dietary spermidine intake was found to correlate with reduced blood pressure and decreased risk of cardiovascular disease and related death. Scientists in this area of research suggest that integration of spermidine in common diets may represent a cardio- and vascular-protective autophagy inducer in humans. The present article provides a brief review of the recent literature reporting on spermidine and takes the chance to make a first evaluation of the pharmacological potential of spermidine to reverse age-induced memory impairment, to protect the heart and to extent lifespan.
Keywords: Aging; Autophagy; Cancer; Dementia; Helicobacter pylori; Memory, to Mitophagy; Polyamines; Supplementation
Abbreviations: DMFO: α-difluoromethylornithine; GABR: Global Arginine Bioavailability Ratio; NOS: Nitric Oxide Synthase
Introduction
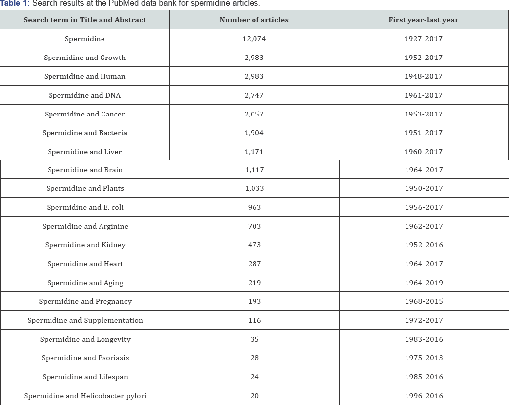
Spermidine, N-(3-aminopropyl) butane-1,4-diamine, is a low-molecular-mass organic base (C7H19N3, CAS 124-20-9) and belongs to the polyamine family which includes spermine and putrescine, the direct precursor of spermidine (Figure 1).At ambient temperature (22-25 °C) spermidine is a colorless liquid or a white powder. In biological samples, the two primary amine groups and the secondary amine group of spermidine are protonated so that the spermidine molecule is a polyvalent cation. Spermidine is a natural compound and widely distributed in plants, animals and humans. Scientific reports on spermidine and putrescine exist for more than 90 years, whereas articles on spermine appeared 25 years earlier (Table 1).


Spermidine is biosynthesized by microorganisms, plants and animals including humans [1-3]. Two possible biosynthetic pathways are illustrated in a simplified form in Figure 1. Hydrolysis of L-arginine by arginase yields L-ornithine which is decarboxylated by ornithine decarboxylase to form putrescine (butane-1,4-diamine or 1,4-diaminobutane). Putrescine can also be formed by hydrolysis of agmatine which is produced from L-arginine by the action of arginine decarboxylase. Putrescine is alkylated by the decarboxylated S-adenosyl-methionine which regularly serves as the major methyl (CH3) group donor for methyl transferases. Spermidine and other polyamines have been and are still subject of continuous scientific research from many different disciplines (Table 1). Spermidine's pharmacological properties including distribution, metabolism and excretion have been thoroughly investigated. A major fraction of injected spermidine is excreted in the urine [4]. Spermidine and other polyamines have been early and widely associated with growth (Table 1) and aging. They were found more than 50 years ago to stabilize various cellular and subcellular components including nucleic acids due to their polyvalent cationic structures.
Several analytical methods have been reported for the simultaneous measurement of spermidine, spermine and putrescine in human biological samples, including HPLC and GC-MS [5,6] and LC-MS/MS [7]. Polyamines including spermidine have been found at elevated circulating and urinary concentrations in a variety of diseases including cancer and psoriasis (Table 1). In plasma spermidine concentration was found to be 220 nM in healthy humans and 200-800 nM in cancer patients. Mean spermidine concentrations in urine were found to be also in the nM-range, e.g., 130 nM in healthy subjects, 186 nM in diabetic patients and 680 nM in patients with severe complications [7].
Measurement of elevated spermidine concentrations in subjects suffering from various diseases has early prompted research on developing drugs to inhibit polyamine biosynthesis. One of these drugs is α-difluoromethylornithine (DMFO) [2]. More recent studies suggest that spermidine supplementation may exert beneficial effects on the brain and the heart, and can even extent lifespan. A selection of these studies is provided in Table 2 [8-31] and is briefly reviewed and discussed in the section that follows. Escherichia coli (E. coli) has been very often associated with polyamines (Table 1). The pathogenic Helicobacter pylori (H. pylori) from subjects infected with the bacterium produces large amounts of spermidine and histamine in culture [32]. The potential implication of H. pylori-derived spermidine in diseases remains to be investigated. Spermidine is considered an inducer of autophagy. For recent reviews and commentaries to autophagy and longevity and underlying mechanisms see References [33-42]. For the polyamine content of food see the recent review by Kalač [43].
Discussion
Spermidine and other polyamines are biologically active compounds and have numerous biological activities in humans. More recent non-human studies suggest polyamines as potential candidates for diseases associated with autophagy or impairment of memory due to advanced age. Due to their pharmacological potential, their toxicity and health risks have been thoroughly investigated twenty years ago. Oral acute toxicity of spermidine was determined to be 600mg (4.1mmol)/kg body weight in Wistar rats, with the no-observed-adverse-effect being 83mg (0.57mmol)/kg body weight [43]. Pharmacokinetic data for spermidine and other polyamines in humans are very scarce and need to be generated in carefully performed studies. The toxicity and health risks data observed in animals and the polyamine concentrations measured in healthy and diseased subjects provide an approximate idea of the dose regimen for spermidine supplementation in humans.
Despite the long interest in polyamines, reference values and intervals have not been established thus far. Moreover, reported circulating and urinary polyamine concentrations vary considerably. As an example, plasma spermidine concentration lies between 0.2μM (healthy subjects) and 0.8μM (cancer patients) [6]. Spermidine concentration seems to be ten times higher in packed red blood cells (5-8μM) [43-45] compared to plasma, suggesting accumulation of spermidine in human erythrocytes. To our knowledge, there is only a single paper reporting on circulating spermidine concentration in healthy humans of both genders aging between 31 and 106 years. In the Group 1 (age range, 31-56 years) the spermidine median [95%CI interval] concentration was approximately 63 [48-100] pmol/mg whole blood proteins. In the Group 2 (age range, 60-80 years) the spermidine concentration was approximately 23 [20-30] pmol/mg protein, i.e., about three times lower than in Group 1. In the Group 3 (age range, 90-106 years) the spermidine concentration was approximately 70 [48-81] pmol/mg protein, i.e., even higher than in Group 1 [18]. This is a very important but also surprising observation and needs evaluation in forthcoming studies.
Eisenberg et al. [31] reported that "In humans, high levels of dietary spermidine, as assessed from food questionnaires, correlated with reduced blood pressure and a lower incidence of cardiovascular disease."
As the authors acknowledged in their paper, estimation of dietary spermidine intake on the basis of food-frequency questionnaires is an indirect method. In our opinion, this estimation is not eligible to draw far reaching conclusions that spermidine is the elixir for cardioprotection and lifespan extension. This must yet be demonstrated in further studies. In this context, we should remember that the mean daily dietary intake of spermidine in Western countries ranges between 7.9mg (54μmol) and 12.6 mg (87μmol) [43]. Even if these dietary spermidine amounts would be completely absorbed, the spermidine concentrations that would occur in blood and tissue would be not high enough to exert the reported effects in the majority of the studies in which spermidine was used mostly in the lower mM-range (Table 2). Eisenberg et al. [31] assumed that the blood pressure lowering effect of polyamines is presumably due to an increase of the bioavailability of L-arginine, but not data were reported about the nitric oxide (NO) synthesis from L-arginine. Based on the same thoughts and estimations stated above, dietary spermidine, and most likely other dietary polyamines, cannot considerably contribute to the global arginine bioavailability ratio (GABR), especially in regard to the about 1000 times higher dietary intake of L-arginine. Thus, food is likely to contribute to polyamines via bactericidal metabolism of exogenous L-arginine.

Therefore, if spermidine and other polyamines can indeed lower the blood pressure in humans, the underlying mechanisms are unlikely to be enhancement of the GABR. In mice, spermidine supplementation (3mM spermidine in drinking water for 4 weeks; 3mM in vitro in cultured aortic rings) has been reported to improve arterial aging in terms of a normalization aortic pulse waive velocity, endothelium-dependent dilation, autophagy, and even to reduce oxidative stress (based on nitrotyrosine measurement) in the older animals [46]. Unfortunately, in this paper no circulating concentrations were reported for spermidine and for the NO metabolites nitrite and nitrate. Very recently, the L-arginine metabolism has been investigated in rat vestibular nucleus and cerebellum. Measured biomarkers included arginine, citrulline, ornithine, glutamine, glutamate, GABA, spermidine, spermine, putrescine and agmatine and NOS activity by measuring the 3H-L-arginine to 3H-L-citrulline conversion rate [47].
This assay is associated with remarkable pitfalls, most notably with unspecificity, in tissue homogenates because of their capacity to produce and utilize L-citrulline by alternative pathways [48]. The study revealed that brain L-arginine metabolism is influenced by age. With regard to spermidine, age-related differences were found in the cerebellum but not in the vestibular nucleus complex of the rats (age, 4 v. 24 months), and not between middle-aged and aged rats (12 vs. 24 months). With minor exceptions [11,15], reported effects of exogenous spermidine have been observed at very high concentrations, mostly at 3mM (435mg/L) to 5mM (725mg/L). These concentrations are three and four orders of magnitude higher than spermidine concentrations found in plasma and red blood cells of humans, respectively. Although supplementation of high amounts of spermidine, putrescine or spermine is feasible from a pharmaceutical point of view, it has first to be demonstrated that supplementation of polyamines to reach concentrations that were turned out to be effective in flies, worms and small animals (mice and rats), is safe in humans.
Unfortunately, in the majority of the studies reported in the last decade, drug safety has not been implemented. Also, the potential formation of catabolic and metabolic reaction products of polyamines has not been considered at all. However, catabolism of polyamines produces many toxic compounds including H2O2 and aldehydes [43,49]. And last but not least important, spermidine can be nitrosated to N-nitrosospermidine which is further converted by cyclisation to N-nitrosopyrrolidine [50] which is classified as a possible carcinogen. Formation of nitrosopolyamines from polyamines and inorganic nitrite, that is abundantly present in human saliva, is favored under acidic conditions as they prevail in the stomach. In this context, a possible involvement of H. pylori which produces spermidine in large amounts [8] is worthy of investigation
A first research paper on spermidine and spermine in tissues of rats of increasing age revealed that the spermidine content decreased in all tissues with increasing age, with the fall being most marked during the first month of life [51]. The spermidine/ spermine molar ratio in the tissues was highest immediately after birth. In contrast to other tissues, in rat brain the spermidine/ spermine increased from 1.3 to 2.1 during the first 9 months. Similar results were found in liver and kidney of rats aged 1, 3, 6, 13 and 22 months [52].
In human brain, polyamines are heterogeneously distributed [53,54]. The highest spermidine levels were measured in white matter (20nmol/mg protein) and thalamus (9.3nmol/ mg protein) [29]. In contrast to rodents, spermidine levels in occipital cortex of neurologically normal human brain were found to increase markedly from birth, to reach maximal tissue content at the age of about 40 years and not to decrease up to senescence [53]. Spermidine tissue content was found to correlate positively with age from birth to adulthood (p=0.71, P<0.01, for day 1 to 50 years; p=0.40, P<0.01, for day 1 to 103 years). In contrast to spermidine, putrescine and spermine tissue concentrations were found to be independent of age. In older adults (mean age, 58-85 years), spermidine content in several brain regions was found to decrease with age [54]. Among the degenerative movement disorders investigated (Parkinson's disease, Huntington's disease to Progressive supra nuclear palsy), only spermidine putamen content was lower compared to healthy controls.
H. pylori has been declared as a definite gastric carcinogen [55]. The prevalence for H. pylori is about 50% around the world. This bacterium is considered to be responsible for about 90% of noncardia gastric cancer. The precise molecular and cellular mechanisms of gastric cancer development associated with H. pylori infection are still elusive. One possible mechanism could involve misregulation of p27 expression by H. pylori [55]. In cultures of this bacterium isolated from subjects infected with the H. pylori we measured large amounts of spermidine and histamine [8]. High circulating and urinary concentrations of polyamines are found in cancer patients [6]. One may therefore ask the question whether spermidine produced by H. pylori might be involved in gastric cancer. The potential implication of H. pylori-derived spermidine in diseases remains to be investigated. A very recent study revealed that spermidine, spermine and putrescine at very low concentrations (range, 8nM to 10|iM) induced proliferation and migration of certain cancer cells by up regulating among others ornithine decarboxylase and by down regulating p27 [56].
Conclusion
Since the fall of mankind, human beings strive for longevity in good physical and mental health. Can Science, the modern Prometheus, disclose us the secret of the Gods? Are natural polyamines the elixir for long life and against dementia? Might spermidine be the core-polyamine for a long and dementiafree life? Many sophisticated studies published in the last decade suggest that spermidine exerts beneficial effects in the cardiovascular system and in the brain, at least in yeast, flies, worms and small animals. Yet, in many respects human biology differs from that of rodents behave. With exception of isolated cells, where spermidine exerted remarkable effects at concentrations of the order of 20nM, too high spermidine concentrations have been supplied to achieve measurable biological effects.
Within a few years, there is already a general belief that spermidine is an inducer of autophagy and that this prolongs life. Spermidine, being an L-arginine metabolite, seems to be associated with NO which plays multiple roles in the renal, cardiovascular and central nervous systems. Yet, can the results observed in microorganisms and small animals be translated to man? Is high dietary spermidine intake a risk-free option for good physical and mental health? Data from human studies on spermidine are very rare, contradictory and not convincing for example with respect to the inverse correlation between spermidine and blood pressure or risk of cardiovascular disease and related death. In the past, observations from the use of many antioxidants at high concentrations in vitro and in vivo animal experiments raised the expectations for health-promotion in humans, but large clinical studies were very disappointing [57]. For the same reasons, most notably use of irrelevantly high concentrations/doses and disregard of health-risk effects, this may also happen to the use of spermidine and/or other polyamines as supplements. It’s a long way to Longevity!
Conflict of interest
The authors declare no economic interest or any other conflict of interest in association with this work
References
- Tabor H, Rosenthal SM, Tabor CW (1958) The biosynthesis of spermidine and spermine from putrescine and methionine. J Biol Chem 233(4): 907-914.
- Wallace HM, Fraser AV (2004) Inhibitors of polyamine metabolism: review article. Amino Acids 26(4): 353-365.
- Michael AJ (2016) Biosynthesis of polyamines and polyamine- containing molecules. Biochem J 473(15): 2315-2329.
- Tabor H, Tabor CW (1964) Spermidine, spermine, and related amines. Pharmacol Res 16: 245-300.
- Savory J, Shipe JR, et al. (1975) Serum and urine polyamines in cancer Ann Clin Lab Sci 5(2): 110-114.
- Shipe JR, Hunt DF, Savory J (1979) Plasma polyamines determined by negative-ion chemical ionization/mass spectrometry. Clin Chem 25(9): 1564-1571.
- Ibarra AA, Wrobel K, Escobosa AR, Elguera JC, Garay-Sevilla ME, et al. (2015) Determination of putrescine, cadaverine, spermidine and spermine in different chemical matrices by high performance liquid chromatography-electrospray ionization-ion trap tandem mass spectrometry (HPLC-ESI-ITMS/MS). J Chromatogr B 1002: 176-184.
- Velásquez RD, Brunner G, Varrentrapp M, Tsikas D, Frölich JC (1996) Helicobacter pylori produces histamine and spermidine. Z Gastroenterol 34(2): 116-122.
- Soda K, Dobashi Y, Kano Y, Tsujinaka S, Konishi F (2009) Polyamine- rich food decreases age-associated pathology and mortality in aged mice. Exp Gerontol 44(11):727-732.
- Eisenberg T, Knauer H, Schauer A, Büttner S, Ruckenstuhl C, et al. (2009) Induction of autophagy by spermidine promotes longevity. Nat Cell Biol 11(11): 1305-1314.
- Kaeberlein M (2009) Spermidine surprise for a long life. Nat Cell Biol 11(11): 1277-1278.
- Bates DJ, Li N, Liang R, Sarojini H, An J, et al. (2010) Micro RNA regulation in Ames dwarf mouse liver may contribute to delayed aging. Aging Cell 9(1): 1-18.
- Matsumoto M, Kurihara S, Kibe R, Ashida H, Benno Y (2011) Longevity in mice is promoted by probiotic-induced suppression of colonic senescence dependent on upregulation of gut bacterial polyamine production. PloS One 6(8): e23652.
- Chen T, Shen L, Yu J, Wan H, Guo A, et al. (2011) Rapamycin and other longevity-promoting compounds enhance the generation of mouse induced pluripotent stem cells. Aging Cell 10(5): 908-911.
- Mariño G, Morselli E, Bennetzen MV, Eisenberg T, Megalou E, et al.
- Benedikt J, Inyushin M, Kucheryavykh YV, Rivera Y, Kucheryavykh LY, et al. (2012) Intracellular polyamines enhance astrocytic coupling. Neuroreport 23(17): 1021-1025.
- Minois N, Carmona GD, Bauer MA, Rockenfeller P, Eisenberg T, et al. (2012) Spermidine promotes stress resistance in Drosophila melanogaster through autophagy-dependent and -independent pathways. Cell Death Dis 3: e401.
- Pucciarelli S, Moreschini B, Micozzi D, De Fronzo GS, Carpi FM, et al. (2012) Spermidine and spermine are enriched in whole blood of nona/centenarians. Rejuvenation Res 15(6): 590-595.
- Bennetzen MV, Marino G, Pultz D, Morselli E, F^rgeman NJ, et al.
- Gupta VK, Scheunemann L, Eisenberg T, et al. (2013) Restoring polyamines protects from age-induced memory impairment in an autophagy-dependent manner. Nat Neurosci 16(10): 1453-1460.
- Menendez JA, Joven J, Aragonès G, Barrajón-Catalan E, Beltran-Debón R, et al. (2013) Xenohormetic and anti-aging activity of secoiridoid polyphenols present in extra virgin olive oil: a new family of gerosuppressant agents. Cell Cycle 12(4): 555-578.
- Oliverio S, Corazzari M, Sestito C, Piredda L, Ippolito G, Piacentini M (2014) The spermidine analogue GC7 (N1-guanyl-1,7- diamineoheptane) induces autophagy through a mechanism not involving the hypusination of eIF5A. Amino Acids 46(12): 2767-2776.
- Kibe R, Kurihara S, Sakai Y, Suzuki H, Ooga T, et al. (2014) Upregulation of colonic luminal polyamines produced by intestinal microbiota delays senescence in mice. Sci Rep 4: 4548.
- Chae YB, Kim MM (2014) Activation of p53 by spermine mediates induction of autophagy in HT1080 cells. Int J Biol Macromol 63: 56-63.
- Nikolai S, Pallauf K, Huebbe P, Rimbach G (2015) Energy restriction and potential energy restriction mimetics. Nutr Res Rev 28(2): 100120.
- Stegehake D, Kurosinski MA, Schürmann S, Daniel J, Lüersen K, et al. (2015) Polyamine-independent Expression of Caenorhabditis elegans Antizyme. J Biol Chem 290(29): 18090-18101.
- Bonhoure N, Byrnes A, Moir RD, Hodroj W, Preitner F, et al. (2015) Loss of the RNA polymerase III repressor MAF1 confers obesity resistance. Genes Dev 29(9): 934-947.
- Ost M, Keipert S, van Schothorst EM, Donner V, van der Stelt I, et al. (2015) Muscle mitohormesis promotes cellular survival via serine/ glycine pathway flux. FASEB J 29(4): 1314-1328.
- Eisenberg T, Abdellatif M, Schroeder S, et al. (2016) Cardio protection and lifespan extension by the natural polyamine spermidine. Nat Med 22(12): 1428-1438.
- Michiels CF, Kurdi A, Timmermans JP, De Meyer GR, Martinet W (2016) Spermidine reduces lipid accumulation and necrotic core formation in atherosclerotic plaques via induction of autophagy. Atherosclerosis 251: 319-327.
- Eisenberg T, Abdellatif M, Zimmermann A, Schroeder S, Pendl T, et al. (2017) Dietary spermidine for lowering high blood pressure. Autophagy 13(4):767-769.
- Vigne P, Frelin C (2008) The role of polyamines in protein-dependent hypoxic tolerance of Drosophila. BMC Physiol 8: 22.
- Madeo F, Tavernarakis N, Kroemer G (2010) Can autophagy promote longevity? Nat Cell Biol 2(9): 842-846.
- Morselli E, Galluzzi L, Kepp O, Criollo A, Maiuri MC, et al. (2009) Autophagy mediates pharmacological lifespan extension by spermidine and resveratrol.Aging (Albany NY)1(12): 961-970.
- Madeo F, Eisenberg T, Büttner S, Ruckenstuhl C, Kroemer G (2010) Spermidine: a novel autophagy inducer and longevity elixir. Autophagy 6(1): 160-162.
- Marques FZ, Markus MA, Morris BJ (2010) The molecular basis of longevity, and clinical implications. Maturitas 65(2): 87-91.
- Petrovski G, Das DK (2010) Does autophagy take a front seat in lifespan extension? J Cell Mol Med 14(11): 2543-2551.
- Rubinsztein DC, Mariño G, Kroemer G (2011) Autophagy and aging. Cell 146(5): 682-695.
- De Loof A (2011) Longevity and aging in insects: Is reproduction costly; cheap; beneficial or irrelevant? A critical evaluation of the "trade-off” concept. J Insect Physiol 57(1): 1-11.
- Beach A, Titorenko VI (2013) Essential roles of peroxisomally produced and metabolized biomolecules in regulating yeast longevity. Subcell Biochem 69:153-167.
- Bravo-San Pedro JM, Senovilla L (2013) Immunostimulatory activity of lifespan-extending agents. Aging (Albany NY) 5(11): 793-801.
- Carmona GD, Hughes AL, Madeo F, Ruckenstuhl C (2016) The crucial impact of lysosomes in aging and longevity. Ageing Res Rev 32: 2-12.
- Kalač P (2014) Health effects and occurrence of dietary polyamines: a review for the period 2005-mid 2013. Food Chem 161: 27-39.
- Ducros V, Ruffieux D, Belva-Besnet H, de Fraipont F, Berger F, Favier A (2009) Determination of dansylated polyamines in red blood cells by liquid chromatography-tandem mass spectrometry. Anal Biochem 390(1): 46-51.
- Gerbaut L (1991) Determination of erythrocytic polyamines by reversed-phase liquid chromatography. Clin Chem 37(12): 2117-2120.
- LaRocca TJ, Gioscia-Ryan RA, Hearon CM Jr, Seals DR (2013) The autophagy enhancer spermidine reverses arterial aging. Mech Ageing Dev 134(7-8): 314-320.
- Liu P, Gupta N, Jing Y, Collie ND, Zhang H, et al. (2017) Further studies of the effects of aging on arginine metabolites in the rat vestibular nucleus and cerebellum. Neuroscience 348: 273-287.
- Gambaryan S, Tsikas D (2015) A review and discussion of platelet nitric oxide and nitric oxide synthase: do blood platelets produce nitric oxide from L-arginine or nitrite? Amino Acids 47(9): 1779-1793.
- Pegg AE (2013) Toxicity of polyamines and their metabolic products. Chem Res Toxicol 26(12): 1782-1800.
- Hotchkiss JH, Scanlan RA, Lijinsky W, Andrews AW (1979) Mutagenicity of nitrosamines formed from nitrosation of spermidine. Mutat Res 68(3): 195-199.
- Jaenne J, Raina A, Siimes M (1964) Spermidine and spermine in rat tissues at different ages. Acta Physiol Scand 62: 352-358.
- Ferioli ME, Comolli R (1975) Changes of liver and kidney polyamine levels during aging. Exp Gerontol 10(1): 13-15.
- Morrison LD, Becker L, Ang LC, Kish SJ (1995) Polyamines in human brain: regional distribution and influence of aging. J Neurochem 65(2): 636-642.
- Vivó M, de Vera N, Cortés R, Mengod G, Camón L, Martínez E (2001) Polyamines in the basal ganglia of human brain. Influence of aging and degenerative movement disorders. Neurosci Lett 304(1-2): 107-111.
- Moss SF (2016) The Clinical Evidence Linking Helicobacter pylori to Gastric Cancer. Cell Mol Gastroenterol Hepatol 3(2): 183-191.
- Dai F, Yu W, Song J, Li Q, Wang C, Xie S (2017) Extracellular polyamines- induced proliferation and migration of cancer cells by ODC, SSAT, and Akt1-mediated pathway. Anticancer Drugs 28(4): 457-464.
- Giustarini D, Dalle-Donne I, Tsikas D, Rossi R (2009) Oxidative stress and human diseases: Origin, link, measurement, mechanisms, and biomarkers. Crit Rev Clin Lab Sci 46(5-6): 241-281

















