Preparation of Low Molecular Weight Glucomannan from A. Konjac K. Koch in Vietnam by Enzyme Catalyzed Hydrolysis Reaction and its Prospective use to Lower Blood Sugar Levels
Do Truong Thien1*, Tran Thi Nu2 and Nguyen Hong Vinh3
Celdesigner Ltd, Israel
Submission: November 19, 2018; Published: December 17, 2018
*Corresponding author: Michael Ioelovich, Celdesigner Ltd, 2 Bergman St, Rehovot 7670504, Israel.
How to cite this article: Michael Ioelovich. Fractal Structure of Microcrystalline Cellulose Obtained by Method of Spray Drying. Academ J Polym Sci. 2018; 2(2): 555584.DOI: 10.19080/AJOP.2018.02.555584
Abstract
In order to break down the glycoside bond in glucomannan obtained from the bulb of the Konjac in Việt Nam, we used the extract from bacteria bacillus subtilis. The reaction was carried out at 40oC for 6h, pH 5 and the E/S ratio of 0.4(w/w). The obtained oligo-glucomannan after hydrolysis that had molecular weight lower than 1748Da was tested for glucose tolerence in experimental animals. The test results showed that the hydrolyzed glucomannan at a dose of 6g/kg was more effective in lowering blood glucomannan in mouse models that were made to have blood sugar increase exogenously by oral admistration, as compared to original glucomannan.
Keywords: Hydrolyzed glucomannan; Enzyme; Blood sugar
Introduction
Glucomannan is a water-soluble polysaccharide consisting of D-mannose and D-glucose units linked with β - (1→ 4) glucosidic bonds, with the degree of branching of about 8% via β-1,3- or β-1,6-glucosidic linkages and the degree of acetylation of 5÷10%. Being a soluble fiber, low in energy, that acts as a sweeper to prevent cholesterol absorption into the bloodstream, glucomannan is used to lose weight, reduce blood cholesterol, blood fat and blood sugar with very few side effects [1,2].
Despite its hydrophilicity, glucomannan is poorly soluble in water (solubility of around 30%) due to its high molecular weight, which limits its application range in certain areas [3]. In order to increase its solubility, glucomannan is hydrolyzed to lower its molecular weigh and the process attracts the attention of many scientists. Studies on the methods of preparing low molecular weight glucomannan have been of interest to many authors worldwide, including enzymatic hydrolysis [4,5]. treatment with hydrochloric acid combined with ultrasound [6], hydrolysis under the effect of gamma-ray combined with ethanol [7], treatment with gamma-ray combined with H2O2 [8], alkaline hydrolysis combined with heat [9]. With superior catalytic activity compared to chemical catalysts and high biological safety, enzymes have brought many great achievements in several fields such as industry, agriculture, pharmaceutical chemistry, etc. As a result, the exploitation and use of enzymes are being considered by many countries in the world. The work by Wenjie Jian et al investigated the Konjac glucomannan hydrolysis reaction with γ rays combined with Endo-(1, 4)-mannanase enzymes, yielding a product with molecular weight lower than 2200 Da [6].
Cheng YU Chen et al. [5] also carried out the hydrolysis reaction of glucomannan with β mananase enzyme, lowering the molécular weight to 3089 Da [10]. In this study, we conducted the hydrolysis reaction of glucomannane obtained from the bulbs of Konjac grown in Vietnam by the enzyme produced by the bacteria bacillus substilis. The hydrolyzed product was tested for blood glucose tolerence in experimental mice.
Experimental
Materials & chemicals
Purified glucomannan from A. KONJAC K. KOCH in VIETNAM was prepared iou laboratory [11]. Enzyme endo-1,4 β-Mannanase (Bacillus sp.) EC 3.2.1.78 CAZy Family: GH26 CAS: 37288-54-3 was from Megazyme Company, all other chemicals were obtained from Merck, used immediately without purification.
Research methods and equipment
Enzyme from bacteria Bacillus subtilis
Among amylase-producing microoraganisms, Bacillus subtilis is a thermophilic bacterium able to grow rapidly (4-6 times faster than moisturephilic bacteria) and grows well at relatively high temperatures. Therefore, its culture is less likely to be infected by other microoraganisms.
Bacillus subtilis belongs to: Order: Eubacteriales Family: Bacillaceae Genus: Bacillus Species: Bacillus subtilis
It is an aerobic microorganism with optimum temperatures for growth in the range from 36oC to 50oC, the maximum of about 60oC, the spores can resist relatively high heat. In the extract of Bacillus subtilis there are various enzymes, including β-amylase, cellulase, capable of hydrolyzing β - (1→ 4) glucosidic linkages in glucomannan [12].
Hydrolysis of Glucomannan
The proper digestive environment for decomposing polysaccharides is slightly acidic and the body temperature is within the enzyme’s active temperature range. We carried out the reaction as follows:
a) Weigh about 10g of substrate for each sample
b) Disperse glucomannan in 300ml H2O, adjust the solution pH to 5 with HCl. Add 4ml enzyme extract to the solution. Agitate the mixture to homogenous solution.
c) Incubate the mixture in a warm cabinet at 40oC for 24h.
d) At the end of the reaction, add excess absolute ethanol to the mixture, centrifuge at 9000 rpm. Remove the liquid, vacuum dry at 50oC to constant weight. The obtained product was hydrolyzed glucomannan, named as LMWG-S.
Blood glucose tolerance of the product
The ability to stimulate blood glucose tolerence of the hydrolyzed product was determined in normal, healthy mice by oral glucose tolerance test (OGTT). The test mice were white mice (of Swiss strains), both male and female, weighing 18-22 grams, having healthy physiology.
The mice were fed daily with synthetic feed supplied by the Institute of Vaccines and Biologicals. They were exposed to light from 12am to 12pm. The mice were divided into test lots, each with 10 individuals. After stable culture under laboratory conditions, the mice were tested for blood glucose tolerence by taking the following preparations:
a) Test lot 1 (control): distilled water.
b) Test lot 2: hydrolyzed glucomannan at a dose of 3g/kg body weight.
c) Test lot 3: hydrolyzed glucomannan at a dose of 6g/kg body weight.
d) Test lot 4: glucomannan at a dose of 6g/kg body weight.
e) Test lot 5: gliclazide at a dose of 10mg/kg body weight.
f) Just after the mice were given the preparations, the blood glucose level was measured (0h).
g) After 2h the mice were fed with glucose at a dose of 2g/ kg body weight to increase blood glucose.
h) Measure blood glucose levels 2h, 2h30, 3h và 4h after taking the preparations.
Results
(LMWG-S)
The obtained product after the hydrolysis reaction of glucomannan was a translucent white, water soluble powdered mass that could be finely ground. The yield reached 65%.
Structure and properties of LMWG-S
The spectra of IR, NMR, TGA of the product are shown in (Figures 1-5).

The typical peaks on the IR spectrum of the product (Figure 1) are inferred as follows: the area 3000-3700cm-1 represents the covalent vibration of the hydroxyl group (-OH); 2887cm- 1 represents the covalent vibration of the CH linkage (υC–H); 1726cm-1 represents the covalent vibration of the carbonyl group (υC=O); 1650cm-1 represents the presence of absorbed water molecules; 1413 and 1377cm-1 represent the deformation vibration of the CH linkage (CH); 1150cm-1 represents the covalent vibration of the ether linkage C-O-C between units in polysaccharide macromolecule; 1079 and 1022cm-1 represent the covalent vibration of the C-O linkage of the C-OH group. The peaks in the area 808÷900 cm-1 represents the α pyranose ring of glucose and mannose. Thus, the chemical structure of the hydrolyzed glucomannan is virtually unchanged from the original glucomannan. This may result from the fact that the hydrolysis reaction under the experimental conditions takes place mainly at the 1-4 glycosidic linkage.
As shown in Figure 2, the hydrolyzed product mixture has the maximum molecular weight of 1748.4Da. The molecular weight of glucomannan is reduced to 1748,4Da, which proves the effectiveness of the experimental model. The optimal conditions for hydrolysis are similar to the results reported by Cheng YU Chen et al. [13]. However, the hydrolysis process of our experimental model results in oligo glucomannan with lower molecular weight.The chemical shift ( ppm) of 1H and (13C) in konjac glucomannan molecules is shown in Tables 1 & 2, respectively [14-19].
The M/G ratio is calculated as follows:
This result shows that the M/G ratio of the hydrolyzed product is slightly lower than that of the original GM (RM/G 1.6) [3].




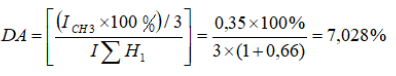
The result shows that DA of the hydrolyzed product is lower than that of the original raw material, proving that together with the hydrolysis reaction at the 1,4-β-D glycosidic linkage, de-Nacetylation also occurred, which leads to DA decrease of the product


Blood glucose tolerance of the product
The blood glucose tolerance test is an experimental method often used in recent studies in Vietnam and in the world. There are also studies that attemp to test the inhibition of glucose absorption in the intestine through food or glucose solution. However, this study focuses on the cellular glucose tolerence, an important indicator to assess the effects of diabetes medications. The effect of the product on blood glucose tolerence is demonstrated by changes in blood glucose level of mice after administration of 2mg/kg body weight. The research results are shown in the Table 3 below

The results from Table 3 and Figure 6 show that at the time of glucose feeding (2 hours after taking the preparations), all the test lots had a reduced blood glucose level, due to fasting. At the time 2.5 hours after taking the preparations because the mice were fed with glucose at a dose 2g/kg body weight, the blood glucose level in all lots increased (and reached the maximum). This level gradually decreased at the time 3 and 4 hours after glucose feeding. At the time 2.5 hours after the feeding, lots number 2, 3, 4 and 5 had lower blood glucose increase than lot 1 (as control), the difference is statistically significant (P≤ 0,05). Three and four hours after taking the preparations, lots number 2, 3, 4 and 5 had greater blood glucose reduction than lot 1. The difference is statistically insignificant (P>0,05) on the blood glucose reduction percentage between lot with gliclazide (lot 5) and lot with glucomannan (at 6g/kg) and lot with hydrolysed glucomannan (at 6g/kg). This proves that hydrolysed glucomannan (at 6g/kg body weight) is capable of boosting cellular glucose tolerance. At the times 3 hours and 4 hours after taking the preparations at a dose of 3g/kg, the blood glucose reduction percentage was lower than that of the lot with a dose 6g/kg of original glucomannan. This difference is statistically significant, which proves that the stimulation of glrsucose tolerence of hydrolysed glucomannan at the dose of 3g/kg is ineffective. 3 hours and 4 hours after taking the preparations, the blood glucose reduction of the lot with hydrolyzed glucomannan is greater than that of the lot with original glucomannan.


This difference is statistically significant with P<0,05. This proves that the hydrolyzed product can stimulate the glucose tolerance better than the original glucomannan. There are two possible explanations: stimulation of glucose tolerance occurs in brain, liver and red blood cells (cells that can receive glucose without requiring insulin); or stimulation of insulin secretion, increased insulin sensitivity of the preparations to target tissues results in glucose tolerance of the target cells (hepatocytes, muscle and adipose tissues, etc.). Whichever mechanism, this is significant in the blood glucose reduction treatment for patients with diabetes.
Conclusion
We have prepared low molecular weight glucomannan from the bulbs of A. Konjac K Korch in Vietnam and demonstrated the structure of the obtained product. The hydrolyzed product has molecular weight of less than 1748,4Da and degree of acetylation lower than the original glucomannan. The hydrolyzed glucomannan at the dose of 6g/kg is more effective in reducing blood glucomannan in mouse models that were made to raise the blood glucose levels exogenously by oral administration, as compared with the unhydrolyzed original glucomannan.
References
- Behera SS, Ray RC (2016) Konjac glucomannan, a promising polysaccharide of Amorphophallus K. Koch in health care. Int J Biol Macromol 92: 942-956.
- Jianhua Liu, Qiuhong Xu, Jingjing Zhang, Zhou X, Lyu F, et al. (2015) Preparation, composition analysis and antioxidant activities of konjacoligo-glucomannan. Carbohydr Polym 130: 398-404.
- Zalewski BM, Chmielewska A, Szajewska H (2015) The effect of glucomannan on body weight in overweight or obese children and adults: A systematic review of randomized controlled trials. Nutrition 31(3): 437-442.
- Mikkelson A, Maaheimo H, Hakala TK (2013) Hydrolysis of konjac glucomannan by Trichoderma reesei mannanase and endoglucanases Cel7B and Cel5A for the production of glucomannooligosaccharides. Carbohydrate Research 37: 60-68.
- Cheng Yu Chen, Yu-Chun Huang, Ting-Ya Yang, Jhen-Yi Jian, Wei-Lin Chen, et al. (2016) Degradation of konjac glucomannan by Thermobifida fusca thermostable -mannanase from yeast transformant, International Journal of Biological Macromolecules 82: 1-6
- Wenjie Jian, Yuanming Sun, Huan H, Youhui Y, Shuhui Peng. et al. (2013) Study on preparation and separation of Konjac oligosaccharides. Carbohydrate Polymers 92: 1218-1224.
- Weiping Jin, Wei Xu, Zhenshun Li, Jing Li, Bin Zhou, et al. (2014) Degraded konjac glucomannan by g-ray irradiation assisted with ethanol: Preparation and characterization. Food Hydrocolloids 36: 85- 92.
- Pan T, Peng S, Xu Z, Xiong B, Wen C. et al. (2013) Synergetic degradation of konjac glucomannan by γ-ray irradiation and hydrogen peroxide. Carbohydr Polym 93(2): 761-767.
- Jin W, Mei T, Wang Y, Xu W, Li J, et al. (2014) Synergistic degradation of konjac glucomannan by alkaline and thermal method. Carbohydrate Polymers 99: 270-227.
- Borriss R, Chen XH, Rueckert C, Blom J, Becker A, et al. (2011) Relationship of Bacillus amyloliquefaciens clades associated with strains DSM 7T and FZB42T: a proposal for Bacillus amyloliquefaciens subsp. amyloliquefaciens subsp. nov. and Bacillus amyloliquefaciens subsp. plantarum subsp. nov. based on complete genome sequence comparisons. Int J Syst Evol Microbiol 61(8): 1786-1801.
- Do Truong Thien, Nguyen Tien An, Nguyen Thi Dong, Pham Le Dung, Nguyen Van Du (2010) Characterization of glucomannan from some Amorphophallus species in Vietnam. Carbohydrate Polymers 80: 308- 311.
- Chen J, Liu D, Shi B, Wang H, Cheng Y, et al. (2013) Optimization of hydrolysis conditions for the production of glucomannooligosaccharides from konjac using β-mannanase by response surface methodology. Carbohydr Polym 93: 81- 88.
- Jun Yanga, Natale Vittori, Weiwei Wang, Yong-Cheng Shi, Jennifer L, et al. (2017) Molecular weight distribution and fermentation of mechanically pre-treated konjac enzymatic hydrolysates. Carbohydrate Polymers 159(1): 58-65.
- Helena M Moreno, Beatriz Herranz, A Javier Borderías, Clara A Tovar (2016) Effect of high-pressure treatment on the structural, mechanical and rheological properties of glucomannan gels. Food Hydrocolloids 60: 437-444.
- Céline Lafarge, Ludovic Journaux, Aline Bonnotte, Jeannine Lherminier, John Aldo Lee, et al. (2017) Trapping of carvacrol by konjac glucomannan-potato starch gels: Stability from macroscopic to microscopic scale, using image processing. Food Hydrocolloids 66: 216-226.
- Rubio AL, Tarancón P, Mascaraque LGG, Martínez-Sanz M, Fabra MJ, et al. (2016) Development of glucomannan-chitosan interpenetrating hydrocolloid networks (IHNs) as a potential tool for creating satiating ingredients. Food Hydrocolloids 60: 533-542.
- Do Truong Thien, Nguyen Tien An, Nguyen Thi Dong, Pham Le Dung (2011) Synthesis and characterization of water-soluble O-carboxymethyl glucomannan. Carbohydrate Polymers 83: 645-652.
- Do Truong Thien, Nguyen Tien An, Nguyen Thi Dong, Pham Le Dung, Nguyen Van Du (2011) Isolation and characterization of polysaccharides from Amorphophallus corrugatus in Vietnam. Carbohydrate Polymers 84: 64-68.
- Do Truong Thien, Nguyen Tien An, Nguyen Thi Dong, Pham Le Dung, Pham Thi Bich Hanh, et al. (2011) A simple methylation for obtaining water-soluble O-methyl glucomannan derivatives. Carbohydrate Polymers 84: 173-179.

















