A Simple and Accurate Method for Specific Quantification of Biomass in Mixed Cultures of Filamentous Fungi by Quantitative PCR
Reyes-Calderón A, Garcia-Luquillas KR, Ludeña Y, Hernández-Macedo ML, Villena GK and Samolski I*
Laboratorio de Micologíay Biotecnología (LMB), Facultad de Ciencias, Universidad Nacional Agraria La Molina, Perú
Submission: December 14, 2018; Published: March 21, 2019
*Corresponding author: Samolski I, Laboratorio de Micología y Biotecnología (LMB), Facultad de Ciencias, Universidad Nacional Agraria La Molina, Lima 12, Perú
How to cite this article: Reyes-Calderón A, Garcia-Luquillas KR, Villena GK, Samolski I. A Simple and Accurate Method for Specific Quantification of Biomass in Mixed Cultures of Filamentous Fungi by Quantitative PCR. Adv Biotech & Micro. 2019; 13(2): 555858. DOI: 10.19080/AIBM.2019.13.555858
Abstract
Production of lignocellulolytic enzymes by filamentous fungus have a great potential at industrial level due to their widespread applications. Mixed fungal cultures and particularly mixed fungal biofilms constitute a promising fermentation system for an enhanced enzyme production. However, it has not been addressed how much of this enhancement depends on the mixed biomass proportion.
In this sense, the aim of this study was to develop a method for specifically and accurately quantify mixed fungal biomass. For this purpose, mixed biofilm cultures composed of Aspergillus niger and Trichoderma reesei, two filamentous fungi used industrially for cellulase production, were collected from 48 to 120 h of growth; mycelia were pulverized, and DNA was extracted for qPCR assays with specific primers for each fungus. Primers were designed from non-conserved regions of sequences of actin and β-tubulin genes of both A. niger and T. reesei. Specificity of these primers was tested in silico and experimentally. A statistically significant correlation was obtained between qPCR-calculated biomass and dry weight biomass data. By this method, it was possible to detect changes on mycelia proportions in biofilms over time, suggesting a competitive interaction between these two fungi. In conclusion, this method allows a specific and accurate quantification of mixed fungal biomass and could be also applied to any mixed culture system for studying microbial interactions.
Keywords: Lignocelluloytic enzymes; Aspergillus niger; Trichoderma reesei; mixed cultures; biofilms; coculture; qPCR; specific quantification; microbial interactions
Introduction
Industrial enzyme production is an area of great application in biotechnology because of the high market value of this proteins and the potential use of renewable and low-cost raw materials, such as cellulose and lignocellulose [1-3]. Lignocellulose is the major component of plant biomass, comprising around half of the matter produced by photosynthesis and representing the most abundant renewable organic resource in soil [4]. However, the cost of obtaining sugars from lignocellulose biomass for fermentation is still high, mostly due to low enzyme yields of producing microorganisms and chemical complexity and variability of this substrate [5,6]. Thus, optimal use of lignocellulose depends on the selection of microorganisms that exhibit a high lignocellulase enzymatic yield, as well as culture systems that guarantee and promote this production. Previous studies have demonstrated that growth in a mixed biofilm system formed by filamentous fungi Aspergillus niger and Trichoderma reesei, generates an increase in the production of total cellulolytic enzymes of 50-70% with respect to single biofilm cultures [7,8].
Although mixed cultures constitute a promising fermentation system, it has not been yet addressed how much of this enzymatic synergy depends on a certain proportion of fungal mixed biomass and what are the effects of growth rate and culture time on this proportion. In order to assess the influence of fungi proportion on the mixed biofilm system productivity, it is essential to develop a method to accurately determine biomass of each species in mixed cultures.
When direct quantification of biomass is not possible (e.g., sample scarcity, irreversible biomass-substrate binding), an indirect approach might be a more feasible manner to collect biomass data. Several methods for indirect biomass quantification have been developed, namely, microscopic techniques such as spore counting or hyphal thickness and length measurement [9,10]; specific cell membrane and wall components like ergosterol [11-13], phospholipid fatty acids [14], and glucosamine [15]; and additionally inner-cell components such as total protein [16], and DNA [17,18]. Methods based on DNA quantification receive increasing attention, not only for their ability to estimate microbial biomass content but also because species composition data can be provided [19]. In this sense, the aim of this work was to develop a method that allows an accurate quantification of A. niger ATCC 10864 and T. reesei QM6a biomass in a mixed biofilm system by means of the specific quantification of the genomic DNA (gDNA) of each fungus by quantitative PCR (qPCR).
Materials and Methods
Fungal growth conditions
Aspergillus niger ATCC 10864 and Trichoderma reesei QM6a were kindly donated by the Agricultural Research Service (ARS) Collection of the United States Department of Agriculture (USDA). The strains were maintained on Potato Dextrose Agar (PDA) slants at 28 °C in the dark until complete spore germination (5 days). Spores were collected with 0.1% Tween 80 solution, counted with a hemocytometer and diluted in sterile distilled water.
Mixed biofilm formation
Spore suspensions (1 x 106 spores/mL) were used as inoculum for biofilm formation in a proportion of 1.5% (v/v) for each fungus [7]. Briefly, 250 mL flasks containing a polyester fiber square (9.61 cm2) in 70 mL of sterile distilled water were inoculated with 1.05 mL of T. reesei spore suspension and incubated at 28 °C and 175 rpm for 2 h in order to allow spore adsorption. After this contact period, cloths were washed three times with sterile distilled water for 15 min at 175 rpm in order to remove non adsorbed spores and transferred to new 250 mL flasks containing 70 mL of sterile distilled water. Then, flasks were inoculated with 1.05 mL of A. niger spore suspension and incubated for 30 min under the same conditions than T. reesei spores. Finally, co-inoculated cloths were washed as described previously and transferred to new flasks containing 70 mL of the culture medium for biofilm formation at 28 °C and 120 rpm for 120 h [20]. At each time point, mixed biofilms were recovered by filtration, washed with sterile distilled water and dried under vacuum at 45 °C for 2 h using a Concentrator Plus (Eppendorf, DE). Dry biofilms were kept at -80 °C until gDNA extraction.
gDNA extraction
Freeze-dried biofilms were ground in liquid nitrogen using a mortar and pestle. Subsequently, 10 mg of pulverized biomass was used for gDNA extraction according to Cenis with some modifications [21]. Briefly, biomass was disrupted in microtubes containing 500 μL of lysis buffer and 200 mg of 0.5 mm glass beads by vigorously vortexing for 10 min. Disrupted biomass was digested with 5 μg of RNAse A for 10 min at 37 °C. For protein and debris precipitation, 250 μL of AcNa 3M was added. gDNA was precipitated with room temperature ethanol and, after washing, pellets were resuspended in ultrapure water. gDNA integrity was confirmed by agarose gel electrophoresis and purity ratios were calculated spectrophotometrically using a Nanodrop® (Thermo Fisher Scientific, US). The amount of extracted gDNA was determined by fluorometry using the Qubit QuantiT® dsDNA High-Sensitivity Assay Kit (Thermo Fisher Scientific, US) following the manufacturer’s instructions. For each biofilm, triplicate extractions were performed.
Diphenylamine Assay
Biomass-gDNA correlation was tested by the diphenylamine colorimetric method according to Zhao, et al. [17].
Primer design
Sequences of actin and β-tubulin genes of each fungal species were downloaded from the National Center for Biotechnology Information (NCBI) database. Afterwards, Clustal Omega multiple sequence alignment software was used to identify non-conserved regions between genes of both fungi. From these regions, specific primers for qPCR were designed using the Primer Quest and Oligo Analyzer online tools (Integrated DNA Technologies, US). Primer sequences are shown in Table 1.

Specificity tests were performed in silico with Primer BLAST and Fast PCR 6.0 programs using the sequences of both genes as template. Additionally, to experimentally confirm primer specificity, a qPCR assay was performed using 500pg of mixed gDNA, A. niger gDNA or T. reesei gDNA as template.
qPCR conditions
qPCR was carried out in 96-well plates using 10 mL reaction containing 1x commercial Kapa SYBR® Fast qPCR Master Mix (2x) Universal kit, 0.2 μM of each primer and 1 μL of DNA extract (500 pg). Amplifications were performed using a CFX96TM Real-Time System thermocycler (Bio Rad, US) with standard PCR conditions of 95 °C for 3 min for initial denaturation followed by 40 cycles of 3 s at 95 °C and 20 s of alignment/extension/data collection at 60 °C. Finally, a gradient step from 65 to 95 °C with 0.5 °C increases for melting curve plotting was included. The purity of the PCR product was checked by the presence of a single melting peak. Each sample were analyzed in triplicate and the experiment was performed with both the actin and β-tubulin primers.
Standard curves
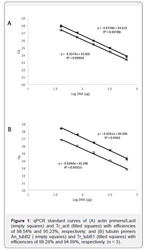
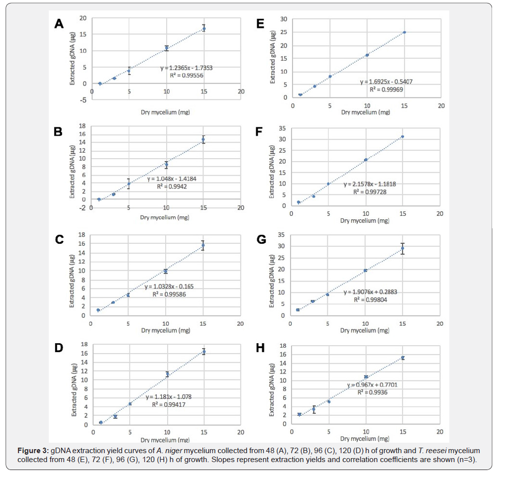
For absolute quantification of T. reesei and A. niger gDNA in mixed biofilms, qPCR two-fold serial dilution standard curves were generated for each pair of primers (An_act1, an_tubB2, Tr_act1, Tr_tubB1) using a known proportion of mixed gDNA according to Table 2. The linear regression equations obtained in each case (Ct versus Log DNA) allowed the calculation of the initial amount of DNA in the sample. To transform the DNA data into biomass (mg), extraction yield curves were generated using 1, 3, 5, 10 and 15 mg of mycelium from individual biofilms of A. niger and T. reesei at each time.

Results and Discussion

In order to analyze mycelial proportion evolution in the biofilm over time, mixed biomass was collected from 48 to 120 h. In this regard, standard curves for qPCR quantification were generated using specific primers (Figures 1&2). Mixed gDNA-based curves were used because it allows to recreate or simulate the reaction conditions of mixed gDNA samples [22], such as variable A. niger/T.reesei proportions (Table 2). Non-specific amplification (mispriming) and amplification between primers (primerdimers) has been previously reported as a consequence of low copy number of target sequence and high primer concentration at the beginning of PCR reaction [23,24]. In fact, two melting peaks have been observed only when A. niger or T. reesei gDNA proportion was set below 0.39% (data not shown), indicating that non-specific gDNA interferes with specific primers’ amplification and this interference depends on target copy number.

Biomass data (mg) of mixed biofilms was inferred from gDNA employing extraction yield curves made for each fungal species and each time point (Figure 3). Relationship between gDNA and biomass was confirmed to be linear in all extraction yield curves with Pearson’s coefficient of determination (R2>0.99) and in the whole mixed culture by using the diphenylamine colorimetric method (R2=0.94).

proportion in biofilms changed over time: at 48 h, 62% of A. niger and 38% of T. reesei; at 72 h, 53.5% and 46.5%; at 96 h, 84.5% and 15.5% and 120 h, 95.9% and 4.1%, respectively. In this mixed culture, it is remarkable the initial and faster T. reesei growth, in comparison to A. niger from 48 to 72 h (Figure 2). However, in spite of its growth limitation, A. niger could overcome T. reesei, showing a high competitive fitness that has been previously reported for this fungus [25]. Such behavior might be explained, rather than growth rates, by the potential capacity of each competitor to establish antagonistic strategies (e. g., secondary antifungal metabolites, cell wall-degrading enzymes) and defensive (e. g., detoxification systems, drug resistance transporters) for displacing its “rival”, as mentioned earlier [22-32]. Undoubtedly, enzymatic production in mixed cultures is dependent on this behavior, and future studies for improving lignocellulase titles should use this quantification method to assess properly individual contribution of mixedcultured fungi to enzymatic secretion.
Other authors have used specific biomass quantification methods. Chatterjee et al. [25] used a quantification method based on densitometry of specific restriction fragment patterns (RFLP-like) that lacks a gDNA extraction, restriction and PCR normalization; others have reported biomass content in mixed cultures in terms of the proportion of DNA measured by qPCR [26,27]. Nevertheless, since proportions of gDNA in a mixed sample do not correspond necessarily to proportions of mixed biomass, results might be biased. On the other hand, there are authors that have established methods for quantifying specific biomass based on DNA data correction with extraction yield values [28,29], and even correction for substrate interference on these yields [22]. Here, we present a corrected method that accounts not only for inherent differences between species-specific gDNA extraction yields, but also for natural changes in mycelial composition through time, such as melanin deposition and cell wall hardening [30], or secretion of stress-related pigments as a result of mixed culture.
Results of specific quantification of biomass in the mixed culture composed of A. niger and T. reesei are shown in Figure 2 in terms of biomass percentage. Quantification using β-tubulin primers was almost identical to actin primers (data not shown). We detect that mycelium proportion in biofilms changed over time: at 48 h, 62% of A. niger and 38% of T. reesei; at 72 h, 53.5% and 46.5%; at 96 h, 84.5% and 15.5% and 120 h, 95.9% and 4.1%, respectively. In this mixed culture, it is remarkable the initial and faster T. reesei growth, in comparison to A. niger from 48 to 72 h (Figure 2). However, in spite of its growth limitation, A. niger could overcome T. reesei, showing a high competitive fitness that has been previously reported for this fungus [25,31]. Such behavior might be explained, rather than growth rates, by the potential capacity of each competitor to establish antagonistic strategies (e. g., secondary antifungal metabolites, cell wall-degrading enzymes) and defensive (e. g., detoxification systems, drug resistance transporters) for displacing its “rival”, as mentioned earlier [22,26,28,32]. Undoubtedly, enzymatic production in mixed cultures is dependent on this behavior, and future studies for improving lignocellulase titles should use this quantification method to assess properly individual contribution of mixedcultured fungi to enzymatic secretion.
Conclusion
A specific method to indirectly quantify biomass in mixed cultures was developed. qPCR reaction conditions and speciesrelated biomass differences that interfere with gDNA yields have been corrected by using mixed gDNA qPCR standard curves and extraction yield curves for each fungus and each time point. Relative abundance results show that the presented method for specific biomass quantification offers valuable information about mixed culture composition and biological interactions linked to lignocellulase production.
Acknowledgement
This study was supported by the National Program of Innovation for Competitiveness and Productivity (Innóvate Perú); Contract N° 191-FINCYT-PNIC-BRI-2015.
Supplemental Material
Figure 3 gDNA extraction yield curves of A. niger mycelium collected from 48 (A), 72 (B), 96 (C), 120 (D) h of growth and T. reesei mycelium collected from 48 (E), 72 (F), 96 (G), 120 (H) h of growth. Slopes represent extraction yields and correlation coefficients are shown (n=3). Available online.
References
- Kirk, O, Borchert, TV, Fuglsang, CC (2002) Industrial enzyme applications. Curr Opin Biotechnol 13(4): 345-351.
- Kuhad, RC, Gupta, R, Singh, A (2011) Microbial Cellulases and Their Industrial Applications. Enzyme Res 2011: 1-10.
- Guerriero G, Hausman JF, Strauss J, Ertan H, Siddiqui KS (2015) Lignocellulosic biomass: Biosynthesis, degradation, and industrial utilization. Eng Life Sci 16(1): 1-16.
- Sánchez C (2009) Lignocellulosic residues: Biodegradation and bioconversion by fungi. Bio technol Adv 27(2): 185-194.
- Galbe, M, Zacchi, G (2002) A review of the production of ethanol from softwood. Appl Microbiol and Bio technol 59(6): 618-628.
- Karimi K, Taherzadeh MJ (2016) A critical review of analytical methods in pretreatment of lignocelluloses: Composition, imaging, and crystallinity. Bioresource Technology 200: 1008-1018.
- Villena GK (2002) Producción de celulasas con biopelículas mixtas de hongos filamentosos. Thesis Mg.Sc. Universidad Nacional Agraria La Molina 10(1).
- Gutiérrez Correa M, Villena GK (2012) Batch and repeated batch cellulose production by mixed cultures of Trichoderma reesei and Aspergillus niger or Aspergillus phoenicis. J Microbiol Biotechnol Res 2(6): 929-935.
- Schnürer J (1993) Comparison of Methods for Estimating the Biomass of Three Food-Borne Fungi with Different Growth Patterns. Appl Environ Microbiol 59(2): 552-555.
- Balser TC, Treseder KK, Ekenler M (2005) Using lipid analysis and hyphal length to quantify AM and saprotrophic fungal abundance along a soil chronosequence. Soil Biol Biochem 37(3): 601-604.
- Gessner MO, Bauchrowitz MA, Escautier M (1991) Extraction and Quantification of Ergosterol as a Measure of Fungal Biomass in Leaf Litter. Microb Ecol 22(1): 285-291.
- Nylund JE, Wallander H (1992) Ergosterol Analysis as a Means of Quantifying Mycorrhizal Biomass. Methods Microbiol 24: 77-88.
- Lau APS, Lee AKY, Chan CK, Fang M (2006) Ergosterol as a biomarker for the quantification of the fungal biomass in atmospheric aerosols. Atmos Environ 40(2): 249-259.
- Olsson PA, Bååth E, Jakobsen I, Söderström B (1995) The use of phospholipid and neutral lipid fatty acids to estimate biomass of arbuscular mycorrhizal fungi in soil. Mycol Res 99(5): 623-629.
- Matcham SE, Jordan BR, Wood DA (1985) Estimation of fungal biomass in a solid substrate by three independent methods. Appl Microbiol Biotechnol 21(1-2): 108-112.
- Abd Aziz S, Hung GS, Hassan MA, Karim MIA, Samat N (2008) Indirect Method for Quantification of Cell Biomass During Solid-State Fermentation of Palm Kernel Cake Based on Protein Content. Asian J Sci Res 1(4): 385-393.
- Zhao Y, Xiang S, Dai X, Yang K (2013) A simplified diphenylamine colorimetric method for growth quantification. Appl Microbiol Biotechnol 97(11): 5069-5077.
- Liu R, Chen L, Jiang Y, Zou G, Zhou Z (2017) A novel transcription factor specifically regulates GH11 xylanase genes in Trichoderma reesei. Biotechnol Biofuels 10: 194.
- Baldrian P, Vetrovsky T, Cajthaml T, Dobiášová P, Petránková M, et al. (2013) Estimation of fungal biomass in forest litter and soil. Fungal Ecol 6(1): 1-11.
- Villena GK, Gutiérrez Correa M (2006) Production of cellulose by Aspergillus niger biofilms developed on polyester cloth. Lett Appl Microbiol 43(3): 262-268.
- Cenis J (1992) Rapid extraction of fungal DNA for PCR amplification. Nucleic Acids Res 20(9): 2380.
- Daly P, Munster JM van, Kokolski M, Sang F, Blythe MJ, et al. (2017) Transcriptomic responses of mixed cultures of ascomycete fungi to lignocellulose using dual RNA-seq reveal inter-species antagonism and limited beneficial effects on CAZyme expression. Fungal Genet Biol 102: 4-21.
- Chou Q, Russell M, Birch DE, Raymond J, Bloch W (1992) Prevention of pre-PCR mis-priming and primer dimerization improves low-copynumber amplifications. Nucleic Acids Res 20(7): 1717-1723.
- Brownie J, Shawcross S, Theaker J, Whitcombe D, Ferrie R, et al. (1997) The elimination of primer-dimer accumulation in PCR. Nucleic Acids Res 25(16): 3235-3241.
- Chatterjee S, Kuang Y, Splivallo R, Chatterjee P, Karlovsky P (2016) Interactions among filamentous fungi Aspergillus niger, Fusarium verticillioides and Clonostachys rosea: fungal biomass, diversity of secreted metabolites and fumonisin production. BMC Microbiol 16: 83.
- Arfi Y, Levasseur A, Record E (2013) Differential Gene Expression in Pycnoporus coccineus during Interspecific Mycelial Interactions with Different Competitors. Appl Environ Microbiol 79(21): 6626-6636.
- Benoit Gelber I, Gruntjes T, Vinck A, Veluw JG van, Wösten HAB, et al. (2017) Mixed colonies of Aspergillus niger and Aspergillus oryzae cooperatively degrading wheat bran. Fungal Genet Biol 102: 31–37.
- Jonkers W, Rodriguez Estrada AE, Lee K, Breakspear A, May G, et al. (2012) Metabolome and Transcriptome of the Interaction between Ustilago maydis and Fusarium verticillioides In Vitro. Appl Environ Microbiol 78(10): 3656-3667.
- Song Z, Vail A, Sadowsky M, Schilling J (2014) Quantitative PCR for measuring biomass of decomposer fungi in planta. Fungal Ecol 7(1): 39-46.
- Karakousis A, Tan L, Ellis D, Alexiou H, Wormald PJ (2006) An assessment of the efficiency of fungal DNA extraction methods for maximizing the detection of medically important fungi using PCR. J Microbiol Methods 65(1): 38-48.
- Kolasa M, Ahring BK, Lübeck PS, Lübeck M (2014) Co-cultivation of Trichoderma reesei RutC30 with three black Aspergillus strains facilitates efficient hydrolysis of pretreated wheat straw and shows promises for on-site enzyme production. Bioresour Technol 169: 143- 148.
- Hiscox J, O Leary J, Boddy L (2018) Fungus wars: basidiomycete battles in wood decay. Stud Mycol 89: 117-124.

















